國產新冠口服藥VV116首次發佈對奧密克戎臨牀研究評議,對比輝瑞效果如何?
周毅“平芜尽处是春山。”

5月18日,感染領域知名期刊Emerging Microbes & Infections發表國內團隊的研究文章。研究數據顯示,由中國科學家研發的口服小分子抗新冠病毒藥物VV116,在用藥時間範圍內可以縮短患者的核酸轉陰時間。就這一指標而言,相比於輝瑞Paxlovid等國外新冠口服藥,國產新冠口服藥VV116的表現如何?長遠來看,未來它是否具備價格等方面的優勢?

研究報告截圖
國內外新冠口服藥,都可以縮短核酸轉陰時間
綜合微信公眾號“華山感染”消息,該研究由國家傳染病醫學中心、上海市傳染病與生物安全應急響應重點實驗室、華山感染張文宏教授團隊與上海公共衞生臨牀中心範小紅教授團隊、臨港實驗室共同合作完成,主要評估VV116對非重症奧密克戎感染患者核酸轉陰時間的影響。
這也是“國產”抗新冠病毒藥物對奧密克戎感染者臨牀研究結果的首個同行評議報道。
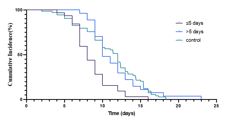
研究數據顯示:
在首次核酸檢測陽性5日內使用VV116的奧密克戎感染患者,其核酸轉陰時間為8.56天,小於對照組的11.13天。有症狀的患者中,在本研究的用藥時間範圍內(首次核酸陽性2-10天)給予VV116,均可以縮短患者的核酸轉陰時間。在藥物安全性上,使用了VV116的患者中,也沒有觀察到嚴重不良反應。

研究報告截圖
在同一賽道上,目前海外有輝瑞的Paxlovid(奈瑪特韋/利托那韋)、默沙東的Molnupiravir(莫那匹韋)、吉利德的瑞德西韋3款藥物獲批。如果將“轉陰時間長度”(VV116可以縮短2-3天)作為觀察指標,可以發現抗病毒治療能夠顯著縮短病毒核酸轉陰時間:
行業媒體“新康界”援引的深圳三院4月17日新冠患者(奧密克戎)抗病毒治療臨牀案例數據顯示,使用輝瑞Paxlovid進行干預治療的患者,其核酸轉陰平均時間相比對照組縮短了3天左右;相比於對照組,默沙東Molnupiravir(莫那匹韋)藥物干預組的轉陰時間中位數大約也縮短了2-3天左右。
僅就這三組數據來看,國內外新冠口服藥或許都有助於加快患者康復,緩衝醫療系統被擠兑壓力。


圖源“新康界”
需要指出的是,該VV116研究報告指出:作為一項開放性、前瞻性隊列研究,本研究所納入的樣本量有限,所有受試者均未發展為重症或危重症。因此本研究未能收集到足夠多的數據進一步分析VV116是否對於奧密克戎感染重症化具有預防作用,僅初步評價了輕症患者中核酸轉陰這單一指標。
VV116的理論和實戰效果如何,還將需要更多試驗和數據來説明。
值得一提的是,伴隨着國內多款新冠口服藥物的研發陸續取得進展,除VV116外,阿茲夫定等口服用藥均顯示出在縮短核酸轉陰時間等問題上,藥物干預具有較為明顯的效果。
中國醫學科學院學部委員、中國工程院院士蔣建東日前在北京舉行的中國醫學發展大會上介紹,臨牀藥效方面,阿茲夫定口服用藥3~4天核酸轉陰,平均用藥時間為6~7天,平均9天出院,重症與輕症的治療效果相似,多日用其他藥物無效的病人同樣有效。

研報截圖
國產新冠口服藥,會更具備價格優勢嗎?
在疫情防控中,新冠小分子口服藥物由於受毒株變異的影響較小,同時具備生產成本低、服用方便等優勢,具備較大潛力,受到追捧。不管是國外的Paxlovid、Molnupiravir,還是國內的VV116、阿茲夫定、普克魯胺,其研發進程、試驗數據和落地價格,都是各界關注的焦點。
東吳證券此前分析指出,VV116於2022年1月中國臨牀試驗啓動;目前已獲得烏茲別克斯坦定價出台,月底很可能披露三期臨牀數據、6月份很可能獲批上市。“參照VV116在烏茲別克斯坦定價,我們預計國內一人份定價可能在600~1000元。”
據悉,VV116在烏茲別克斯坦的售價為185美元,約合人民幣1248元。
根據美國政府的協議,目前其Paxlovid和molnupirvir的購買價格分別為每療程530美元(人民幣3572元)和700美元(人民幣4718元)。歐洲多國Paxlovid的政府採購價也基本在600美元-700美元之間。目前國內唯一上市的新冠口服藥是輝瑞的Paxlovid,其售價為每療程2300元,略低於美國等地價格。
越來越多的國產新冠口服藥出現,或將給整個賽道帶來更多的變化。
本文系觀察者網獨家稿件,未經授權,不得轉載。