速度不輸高鐵!“球類速度王者”羽毛球究竟如何飛行?_風聞
中科院物理所-中科院物理所官方账号-03-19 14:45
原創:中科院物理所
説到羽毛球,想必每個人都不陌生。即使不是羽毛球愛好者,也會經常在各種運動場地或者廣場上看到打球的人,也會對林丹、李宗偉等著名球員有所耳聞。

然而,即使是經常打球的愛好者也未必留意過羽毛球飛行的細節。

**羽毛球為什麼設計成這樣?它飛行時總是較重的球頭朝前麼?羽毛球最遠能飛多遠?它飛行時會旋轉麼?**想必這些問題已經引起大家的好奇了,那就一起走進正文吧~
Part 1:羽毛球的翻轉
只要打過羽毛球的人都會注意到一個現象,那就是當球朝你飛來的時候幾乎都是球頭在前的姿態。換位思考一下,對手一定也會看到同樣的現象。那麼只有一種可能,就是每一方擊球后,羽毛球都會翻個跟頭,然後掉頭往回飛。問題在於,掉頭是擊球瞬間就完成的麼?也許我們想當然地會這樣認為。

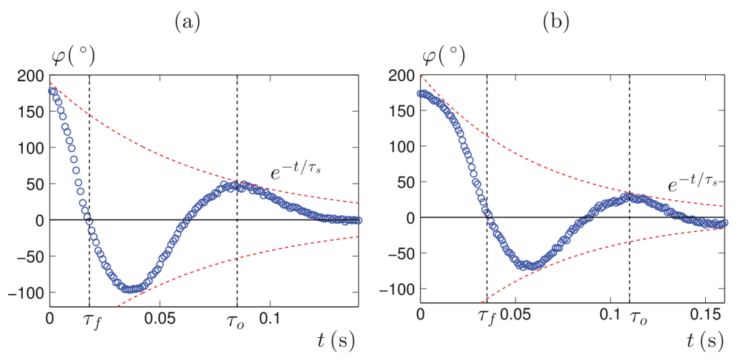
圖1 (a)初始速度約18.6 m/s且初始角速度約206 rad/s的快照(間隔5ms);(b) 初始速度約10.4 m/s且初始角速度約28 rad/s的快照(間隔6.5ms)。| 圖片源自文獻[1]
可惜答案並不是這樣。如上圖所示,擊球的瞬間基本在1ms左右就完成了,然而一般在20ms左右球才能完成翻轉。隨後還要經歷阻尼震盪的過程,才能使其球頭指向速度的方向。為了更直觀地展現這個過程,我們在圖2中畫出了球頭指向與速度方向間的夾角φ隨時間的演化。其中τf、τo以及τs分別代表第一次翻轉至球頭朝前用時、阻尼振盪時間以及達到穩定的特徵時間。

圖2 兩種情況下夾角的演化示意 | 圖片源自文獻[1]
可見,經歷了0.1-0.15s的時間,羽毛球看上去就已經是球頭朝前的姿態了,因此除了一些特殊的擊球情況,我們難以用肉眼捕捉到羽毛球擊球后迅速翻轉調整的過程。那麼。羽毛球的這一翻轉行為與其自身的結構有什麼關聯麼?

圖3 行進時羽毛球的受力分析 | 圖片源自文獻[1]
答案是有的。羽毛球由軟木材質的球頭以及用鵝毛/鴨毛或塑料等材質製成的裙狀結構組成,其中球頭較重而裙狀結構截面積較大。我們不妨把這一特徵抽象為如圖中B和C標識的質量大、截面積大的裙狀區域以及質量小、截面積小的球頭區域。
在飛行時,假定球頭方向與速度方向並不一致,有一個夾角φ,則作用在B和C上的空氣阻力就會分別產生一個以質心G為參考點的力矩。一方面裙狀結構的截面積大,空氣阻力FD更大,另一方面BG相比GC更長,因此球必然會圍繞質心逆時針旋轉,直至球頭指向速度方向。

圖4 羽毛球形狀示意 | 圖片源自文獻[1]
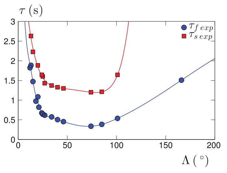
如果上面的重量分佈是很容易就能想到的,那麼關於羽毛球為何選擇接近45°的張角可能很少有人思考過。其實這是與羽毛球能否經歷翻轉更快達到穩定息息相關的。曾有學者用小鐵球和塑料材質的裙狀結構復刻了羽毛球的形狀和質量分佈特徵,在水中以裙狀結構朝下的方式自由釋放,讓其在下沉過程中翻轉,下圖顯示了其張角是如何影響翻轉和穩定時間的。

圖5 張角如何影響翻轉及穩定時間 | 圖片源自文獻[1]
可見,張角過小和過大都不利於翻轉的穩定,而從30°到90°的範圍會經歷一個穩定較快的平台區。顯然,羽毛球的張角正是落在這個區域內。
Part 2:羽毛球的飛行軌跡
與網球不同,羽毛球由於其球本身質量較輕,飛行時受空氣阻力影響較大,所以其飛行軌跡嚴重偏離拋物線的形狀。一般來講,羽毛球飛行遵循的運動方程可以寫作
其中M, ρ和S分別是羽毛球的質量、密度和截面積,U是速度的大小,U和g是速度和重力加速度的矢量,而CD則是與測試條件相關的常數。不難理解,除了令其做斜拋運動的重力項外,球還會收到大小與速度平方成正比,方向與速度反向的阻力。而具體軌跡則由初始速度的大小和方向決定。對於羽毛球,我們可以定義一個與其飛行特徵相關的量,稱為氣動長度
對於我們所使用的羽毛球,這個距離約為4.6m,它決定了羽毛球在自由豎直下落時最終的穩定速度為U∞=6.7m/s。下圖中,我們可以看到不同初始速度下羽毛球飛行軌跡的計算值(實線)與實際值(散點)的對比,可見該運動方程可以較好地預測其軌跡。

圖6 不同初始速度羽毛球軌跡計算值與實際值的對比 | 圖片源自文獻[1]
那麼,羽毛球可以飛多遠呢?我們不妨看看羽毛球做近似上拋運動後下落到與出發高度相同時行進的距離x0的變化趨勢。根據上面的運動方程,我們可以發現這一距離取決於羽毛球的初始速度。將飛行距離x0關於初始速度仰角θ0和速度大小U0的關係作圖,可以得到下面的結果。

圖7 行進距離(m)隨初始速度方向(仰角)及速度大小的變化
只要打過羽毛球,這張圖裏面一定包含了一些你可以感同身受的信息點。比如我們發現無論使用的力氣多大,似乎羽毛球的飛行總是在某一個距離附近“戛然而止”。這張圖中的速度上限已經達到了140m/s,然而能達到的最遠距離還是隻有13.83m。而我們使用的羽毛球場地長13.4m,這就是為什麼羽毛球從一側後場即使用盡全力也幾乎只能打到對方後場,即使出界也不會出很多。

圖8 羽毛球場地示意
有的讀者可能會問,速度上限設置到140m/s,是不是太誇張了?羽毛球能飛這麼快?其實並不誇張。2013年7月,馬來西亞男雙名將陳文宏在實驗室的理想條件下殺球打出了493km/h的驚人速度,相當於136.9m/s。而也有消息稱丹麥選手科丁曾打出506km/h的殺球記錄,即140.6m/s。即使在比賽中,科丁也曾打出426km/h的超快殺球。因此羽毛球是當之無愧的球類速度之王!

圖9 科丁426km/h的超快殺球
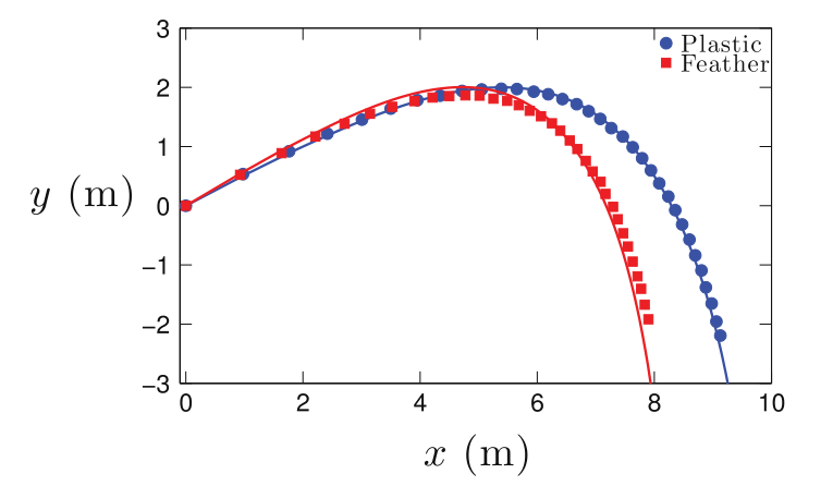
其實,羽毛球的飛行軌跡也與球的種類有關。我們常見的有羽毛制球和塑料制球兩種。下圖顯示了他們飛行軌跡的差異。

圖10 羽毛制球與塑料制球的軌跡比較 | 圖片源自文獻[1]
一方面在初始角度和速度相同的情況下,塑料制球的可到達範圍要比羽毛制球大;另一方面羽毛制球在飛行最高點附近的曲率更大,軌跡更接近“三角形”。

圖11 塑料制球
這是由於保證堅固程度以及成本較低的情況下,塑料制球往往偏重一些。這也意味着在同樣不出界的情況下,羽毛制球可以以更快速度飛行,從而減少對手的反應時間。因此羽毛制球往往更受青睞。
Part 3:羽毛球的旋轉
大家可能留意過,羽毛球的羽毛是朝同一時針方向傾斜排布的。這是無關緊要的設計麼?其實不然。我們可以把每一個羽片看作一個薄板,其在流體中行進時會受到方向垂直於平面且與速度方向相反的力,如下圖所示。

圖12 羽片受力示意 | 圖片源自文獻[1]
我們立刻就會想到,這些力的合力會使得羽毛球整體繞軸線旋轉!當羽毛球以更快速度行進時,受到的阻力會越大,合力產生的力矩也會隨之增大,使得羽毛球更快旋轉。如果我們用角速度Ω與羽片軸向半徑R相乘,得到羽片處的線速度,就會發現其幾乎與行進速度呈線性關係。

圖13 羽毛球旋轉線速度與行進速度關係 | 圖片源自文獻[1]
而且,相比塑料制球,羽毛制球在飛行時的旋轉速度明顯更快。分析表明,更快的旋轉會限制羽毛制球的進動,這有利於羽毛制球在飛行時的穩定。

看來,羽毛球的飛行細節真的是一門大學問。在這個過程中,我們不僅可以學到豐富的物理知識,還有助於瞭解球的飛行軌跡。看完推送的小夥伴快點拿起球拍,看看球技有無精進吧~

參考資料:
[1] Cohen C, Texier B D, Quéré D, et al. The physics of badminton[J]. New Journal of Physics, 2015, 17(6): 063001.
[2] 羽毛球 (球) - 維基百科
[3] Kwan M W. It’sa Birdie… It’sa Shuttlecock… It’s Badminton: The Physics Behind the Badminton Shuttlecock[J].
[4] 殺球世界紀錄再創新高!