福建體彩開獎出現反重力現象?我一臉懵逼,並斗膽給出7種解釋_風聞
毕导THU-毕导官方账号-04-25 08:37
今早,我在網上水到一段4月12號**福建體彩****“31選7”**的電視直播開獎視頻,內容非常驚人!視頻裏竟出現了反物理的現象!
先解釋下,這個“31選7”,就是從31個球裏,隨機搖出7個帶數字的球,買彩票的數字全對上了,就能發大財!估計大家小時候也看過這種抽獎節目。本期開獎,前3個球搖出來後,都沿斜面自然滾落了。

**但接下來這一幕我可從來沒見過啊!**只見第四個球掉下來,它不往下滾,反而還往上彈了幾下,最後穩穩地停在了斜面的頂端!

01號球突破了萬有引力的桎梏,不僅超越了牛頓力學的範疇,甚至在相對論、量子力學中也很難找到解釋。在21世紀,物理學終於迎來了它的第三朵烏雲!
看到這一幕反重力奇蹟,旁邊兩個工作員小姐姐也尬住了。一位久久凝視,另一位眉頭緊鎖,彷彿在思考腫麼會這樣。

接下來的3個球,將詭異的氣氛推向高潮!只見05/17/19號球依次下落,和01號球以一種奇特的姿態堆疊在了一起,形成了一個遺世獨立的整體!你很少能見到如此奇觀!主持人小姐姐念號碼時,也明顯卡頓了一下,感覺下一秒就繃不住了。

01號球:我要帶着我的兄弟們在山頂上面擺造型
許多網友對這一場景大加嘲諷,説鐵定是黑幕,是吸鐵石把球吸在一起了!
不過仔細研究了類似的搖獎機結構後,我發現這種堆疊其實是合理的。那些球並不是吸在了一起,而是01號球停在斜面頂端後,把後面的球擋住了,導致球都卡在了下落管道里。我自制了一個搖獎機模型,並用乒乓球演示如下。

那麼問題只剩下——為什麼01號球會自己停在斜面的頂端啊!你咋不滾啊!!!
體彩工作人員解釋稱**“可能是天氣原因”,畢竟“空氣無處不在嘛”**。搖獎機廠商的人也舉了投籃的例子加以説明,雖然不太明白你家的球不往下滾和投籃有啥聯繫。

總之視頻和回應一出,網上議論紛紛。有人説後台操控,有人説是吸鐵石,相關工作人員均否定了這些猜測。更有人直呼物理學不存在了。
但我個人認為,這事雖然稍顯離譜,但在科學上是完全解釋得通的**。**在此我斗膽給出七種猜想,與大家共同探討。
一、天氣潮濕猜想
體彩工作人員説是“天氣原因”,我認為這是有理論依據的!
福建屬於亞熱帶季風氣候,有**“回南天”**的現象。在3-4月,南海的暖濕氣流與西伯利亞南下的冷空氣相遇形成準靜止鋒,空氣非常潮濕,甚至牆壁表面都會有一層水!
此時演播大廳內,號碼球和搖號機表面可能也有一層濕潤的水膜。當01號球與搖號機內壁接觸時,兩層水膜間會形成彎月面形狀的液橋結構,從而產生吸引力。那麼空氣濕度多大時,彎月面的吸引力足以把號碼球吸住呢?

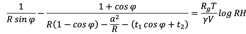
Israelachvili等人指出,球與平面間的彎月面曲率半徑服從下列方程。

其中兩個r是彎月面的曲率半徑,γ是液體表面張力,V是水的摩爾體積,Rg是氣體常數,T是温度,RH是空氣相對濕度。雖然上述方程一般針對的是微米級別的小球,但我們也只好強行拿它胡亂計算了,希望觀眾朋友們不要太在意。

假設球和平面表面分別存在厚度為t1和t2的薄層水膜,則填充角應當滿足

其中a是接觸半徑,是彎液麪的填充角。根據楊-拉普拉斯方程,彎月面的毛細管力為


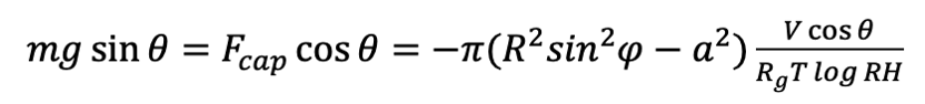
若這個力足以吸住小球,受力分析得

設小球重50g,半徑25mm,故空氣濕度可計算如下

由此算出,此時空氣的相對濕度幾乎為100%!這説明當天的開獎現場是濕到極點了。屬於公證員頭頂冒點汗,現場就會下雨的程度。也許這裏就是中國的亞特蘭蒂斯吧…(當然,這一計算結果模型過於簡單,有諸多不合理之處,請觀眾朋友探討指正)
二、天氣乾燥猜想
最近北方沙塵天氣南下,4月12號正是福建受到沙塵天氣影響嚴重的時候!

因此,福建當時天氣可能十分乾燥。這會導致小球在搖獎機中摩擦產生靜電,掉下來時由於靜電吸附作用,牢牢吸在斜坡頂上不得脱身。搖獎機的管道是亞克力做的,本身也容易產生靜電,吸住個小球,不過分吧。
總之,天氣潮濕和乾燥我都能解釋得通,供工作人員後續參考。
三、小球重塊猜想
我們看慢放動圖可以發現,福建這個01號球運動軌跡相當神奇,它接觸斜坡後居然先是**往上滾了一點,**然後當場頓住:

很多朋友表示“這球能往上滾簡直是反重力奇蹟”!太天真了,其實這不僅不反重力,反而是一次對重力的絕妙利用!
為啥一般的球會沿坡滾下來?因為球在斜坡上受到重力、支持力、摩擦力。重力和支持力過質心,不會讓小球發生轉動。但摩擦力作用於表面,會產生力矩,讓小球逆時針旋轉。
但其實只要我們在小球內部放個重物,重物對小球的作用力就會產生一個力矩讓小球順時針旋轉,跟摩擦力對抗!二者達到平衡時,小球就不再滾動,而可以在斜坡上穩穩地站住,跟不倒翁的原理一樣。

我試着復刻了一下,發現加了重物的小球那真是隨便扔扔就能立在斜面的頂點。這福建體彩開獎多年,立住這麼一次非常合理啊!

當然這僅代表我的一種猜想,絕對沒有説原01號球裏面加了重物的意思。
四、結晶成鹽猜想
眾所周知,光滑的平面上很難保持平衡。但只要撒一小撮鹽,就能使接觸面摩擦力增大,連雞蛋都可以直接立起來!

同理,只要撒一把鹽,讓小球靜止在斜面上也不是沒有可能!
但好端端的搖獎機裏哪來的鹽呢?我上網查了搖獎機的使用説明,發現號碼球在使用一段時間後需要取出,由工作人員清洗維護。

聽着很規範。但要是工作人員手不乾淨,反而讓號碼球上面沾了手汗,汗又在球表面結晶成鹽……這鹽不就有了?這摩擦力不就來了?這停個小球還不是輕輕鬆鬆?
下面我就給大家表演下,如何用一撮鹽穩住一個乒乓球:

五、元素週期表猜想
回想工作人員的解釋,有一句話是**“空氣無處不在嘛”**。這句話非常關鍵!説明空氣對不同的號碼球存在不同的影響!
我大膽猜想,也許每個小球的內部結構並不是一樣的,而是裝着對應原子序數的元素單質。

最先滾下去的07號球,內部裝的是氮氣,密度和空氣相當,加上小球自身重力,就會滾下去。14號硅球、11號鈉球都會滾下去。
而位於頂端的01號球,裝的氫氣密度遠低於空氣,會受到空氣浮力,所以浮到斜面的頂端。畢竟,空氣嘛無處不在**。**

值得一提的是,在這套理論中3號球裝鋰、11號裝鈉、19號裝鉀,這些活潑的金屬單質接觸水都會發生劇烈反應。因此在清潔獎球時不推薦水洗,不然一旦泄露,很可能會浮熔響遊紅,甚至影響工作人員的人身安全。
六、泉州福地猜想
這次堪稱奇蹟的彩票開獎,究竟造福了哪位幸運兒呢?我查了下官網開獎公告,**4月12號號碼球異常那天根本沒人拿大獎啊!**真是枉費人家01球穩在斜坡上的一片苦心!
不過,這樣鉅額獎金就自動流入下一期的獎金池,下一個得獎的有福了。而在後一天4.13號的開獎公告中,累計高達百萬獎金的一等獎,花落泉州!

泉州有福啊!我搜了下,發現泉州的體彩店多次賣出過百萬大獎的彩票,而泉州的別稱就是**“鯉城”**,難道這就是錦鯉的好運加持?是帶個鯉就可以嗎?那我直接叫畢鯉畢鯉。

七、世界航天日猜想
4月12日,是福建體彩號碼球****出現反重力行為的日子;4月12日,也是世界航天日,是紀念人類克服重力飛往太空的日子!
我大膽猜想,福建體彩這次的小球是暗喻太空中的大球,以反重力的形式,表達對航天事業的讚歎和支持,事在人為,人定勝天!好了以上就是我的全部分析了!

結語
本文筆者就福建體彩號碼球卡住原因提出了幾點大膽而科學的猜想,僅供大家圖一樂!目前官方正在調查原因,讓我們靜待官方的準確消息,揭曉最終答案!
買彩票這事兒吧很大程度要靠運氣,運氣又是最把握不住的…最後就祝大家都能收穫好運,買不買彩票都能好運連連!