大新聞!重磅揭秘物理所實驗室"秘密武器"的原理 | 正經玩_風聞
中科院物理所-中科院物理所官方账号-04-29 13:59
原創:中科院物理所
相信大家應該都用過光盤,
光盤沒有芯片,
是怎樣儲存數據的呢?
今天小編就帶大家來看一下,
光盤有着怎樣的獨特結構,
再帶大家做一下大物實驗(不要怕),
計算一下光盤的數據。
做完這些,
你就可以對物理所實驗室的秘密武器之一—XRD技術有所瞭解了。
實驗器材
光盤、激光筆、捲尺、筆和紙

實驗過程
第一步:
本次的實驗操作很簡單,只需要找到一個合適的距離,用激光筆照射光盤的光面,我們在牆面上就可以看到一個個的光斑。這其實就是光盤上一個個小光柵導致的衍射斑。

第二步:
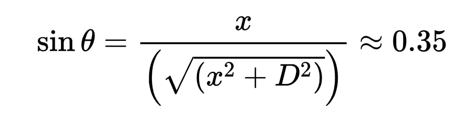
原來我們光盤能夠記錄數據,是因為**它表面有一道道小的刻線,也就是光柵,信息便存儲在其中。**下面我們計算一下光柵常數,也就是光柵兩刻線間的距離。我們需要測量的數據有光盤到牆面之間的距離D,一列衍射光斑中最中心的一級光斑與旁邊的二級光斑之間的距離x。如圖所示,我們測量的數據為D = 32cm,x = 12cm。

第三步:
利用這些數據,我們首先可以得到θ角的正弦值sinθ,利用三角函數公式,

之後將sinθ和綠光波長λ = 532nm代入到光的衍射公式dsinθ=λ,就可以計算得到光柵常數d的值,d = 1520nm。也就是説,光盤上的一道道刻線間距僅為1520nm。從網上查到光盤的光柵常數國家標準是1.5微米,即1500nm,與我們的計算結果比較接近,説明我們的測量是比較準確的。
原理解説
首先我們來看光盤的結構。光盤通過在“反光的那一面”上刻出一條一條的凹槽來存儲信息。對於計算機來説,每一個凹槽代表數字“0”,而沒有凹槽的位置表示數字“1”。

光盤的微觀結構
光盤上沒有凹槽的地方可以反光,而凹槽的地方則不會反光。這形成了一個著名的光學結構,叫做“光柵”。

光柵
當光經過光柵的時候,會發生衍射的現象,本來沿着直線傳播的光則會發生偏折。在後面的光屏上呈現出一系列的光斑。

當一束光通過光柵以後,在光柵後方形成的光場分佈。| 圖源:wiki
利用光學的公式,可以得到激光在通過光柵以後形成的光斑的位置滿足的方程,這個方程也叫做“光柵方程”

其中θ為光斑到光柵連線與光柵法線之間的夾角,λ 為入射光的波長,d為光柵中兩個縫隙之間的間距,也就是對應於光盤中兩個凹槽在徑向上的間距。而其中的k為整數,對應於不同的光斑,這也叫光斑的“級”。

不同入射光在經過光柵衍射後形成的不同圖樣 | 圖源:[1]
從光柵方程中可以看出,對於同一級的光斑來説(相同),如果入射光的波長不同,那麼衍射後的光斑也會出現在光屏的不同位置(不同)。這也就意味着,如果入射光是白光或者其他複色光,那麼在經過光柵後會發生色散。

白光經過光柵以後發生的色散 | 圖源:wiki
現在讓我們回到今天的小實驗上。我們通過測量光盤、光屏(牆面)、光斑間距等參數,就可以確定光柵衍射光斑的位置 ,然後將激光器發出激光的波長數據帶入到光柵方程中就可以計算得到光盤的光柵常數。
需要説明的是,對於不同的顏色的激光筆來説,發出光的波長是不同的。一般來説,紅色激光筆的波長大約為650nm;而綠色激光筆的波長大約為532nm。而對於不同的光盤來説,光盤的光柵常數也會不同。對於CD光盤來説,光柵常數應該約為1600nm,而對於DVD光盤來説,光柵常數應該約為740nm。
利用光柵衍射的原理,我們也可以探測晶體的結構。利用波長非常短的X光來照射晶體,晶體中的每一個原子也會散射X光。**而晶體中原子的週期性排列也可以被看作是“光柵”,因此可以通過觀察X射線通過晶體的衍射圖樣來得到晶體的結構。**這項技術在凝聚態物理領域有着非常廣泛的應用。

晶體的X射線衍射 | 圖源:wiki
參考資料:
[1] https://zhuanlan.zhihu.com/p/145789054
[2] https://en.wikipedia.org/wiki/Diffraction_grating
[3] https://en.wikipedia.org/wiki/Bragg%27s_law