《浙大科學家創造出新物質“彈性陶瓷塑料”:兼具陶瓷、橡膠、塑料特性》新聞的解讀_風聞
马氏体-06-09 20:16
【本文由“平常”推薦,來自《飛機上的“蜂窩”——芳綸紙蜂窩夾層結構複合材料》評論區,標題為平常添加】
- 平常
- 老兄講講今天的新聞。
浙大科學家創造出新物質“彈性陶瓷塑料”:兼具陶瓷、橡膠、塑料特性
https://www.guancha.cn/industry-science/2023_06_08_696041.shtml
掃了一眼論文,這項研究是在分子層面上實現了陶瓷(無機材料)和塑料、橡膠(有機高分子材料)的複合,做出彈性陶瓷塑料,兼具強度、塑性、彈性等相互矛盾的性能。
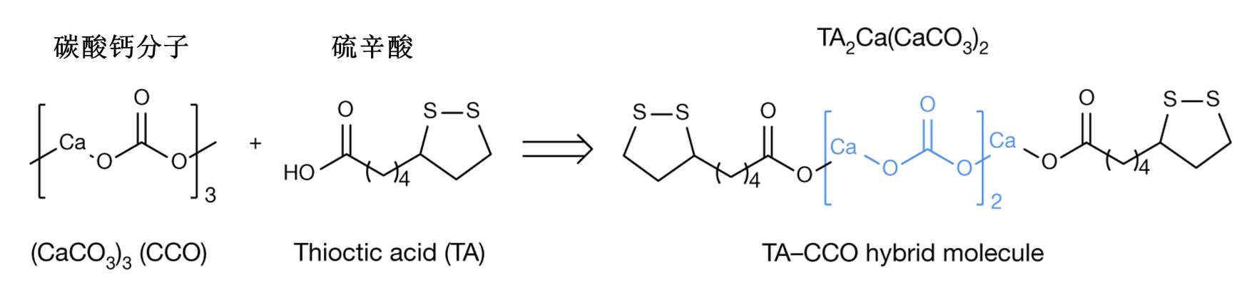
它的原料是碳酸鈣“分子”,是由3個鈣離子和3個碳酸根離子組成的碳酸鈣小顆粒([Ca(CO3)2]3,論文中縮寫為CCO);以及帶有有兩個硫原子的硫辛酸(TA)。

在製備上,用到了兩個化學反應,首先是硫辛酸與碳酸鈣的酸鹼反應,兩個硫辛酸根離子取代“碳酸鈣分子”中的一個碳酸根離子,得到CaTA2·(CaCO3)2分子;其次,硫辛酸內部的S-S鍵打開,與其他CaTA2·(CaCO3)2分子中的硫辛酸的硫重新形成S-S鍵,把不同分子交聯起來,形成網絡狀的分子骨架,從而賦予這種材料強度和形狀,揉麪讓面變得更勁道的原理也是這樣的,即使麪筋蛋白之間形成S-S鍵交聯。

從性能上看,大量被粘接在一起的碳酸鈣小顆粒賦予了這種材料大理石般的強度,就和人造大理石板材類似(但這項研究的成分複合遠比人造大理石裏石粉與粘結劑的混合更均勻);硫辛酸之間交聯的S-S鍵使材料在受到外力時,分子之間相互拉扯,發生彈性變形而不破裂,撤去外力後就會恢復原狀,即具有橡膠性質,事實上天然橡膠從軟踏踏的一坨變成可用的橡膠材料,也需要做硫化處理,就是用硫磺把天然橡膠的分子鏈交聯起來;S-S鍵的形成是可逆的,加熱時交聯的S-S鍵斷開,部分鈣離子與碳酸鈣離子之間的結合也會斷開,使得這種材料可以像熱塑性塑料一樣熱壓塑性,冷卻後化學鍵恢復,變回陶瓷和橡膠的狀態。另外,大部分有機材料稍稍加熱就會喪失力學性能,而這種材料中因為有碳酸鈣結構的支撐,在高温下仍能保持性能。

這個分子級均勻混合的複合材料思路從化學和材料結構上講非常巧妙,結合了陶瓷的強度和橡膠的彈性,又具有塑料的可塑性,如果將來能夠走出實驗室投入實際應用的話,或許能夠代替高硬度的橡膠作為減震、密封等功能的材料,或者解決陶瓷材料在一些場合中的脆性問題,塑形過程又比常規的橡膠、陶瓷更容易,而且它還是可以回收循環利用的。