我們從物理學原理出發證明了奧特曼的激光可以拐彎 | 正經玩_風聞
中科院物理所-中科院物理所官方账号-07-22 21:18
原創:中科院物理所
為什麼奧特曼不發射能改變方向的激光
這樣就不用擔心被怪獸躲掉了
為了幫奧特曼的激光拐彎
我們從物理學原理出發
做了下面的實驗

實驗器材
激光筆,打孔的礦泉水瓶,水盆,支架台

實驗步驟
第一步:
首先將礦泉水瓶的側面打一個小洞(無獎競猜,小編的打孔礦泉水瓶是哪一期的?)。

第二步:
將激光筆,打孔的礦泉水瓶,支架台以及水盆放到合適的位置,沒有特殊角度,只需要保證激光是直直的通過小孔。

第三步:
將水緩慢倒入礦泉水瓶中,觀察光斑和水流。

有趣的現象發生了:激光從小孔出來後並不是直直的射出了,而是隨着水流在“流”動,在改變位置!
第四步:
我們再用水盆做一個實驗:將激光沿着斜入射的角度射入。

光也拐彎了!
第五步:
換個角度再試一下

光同樣也拐彎了,並且拐的彎更大了!
第六步:
將換角度的整個過程展現出來。

得證!奧特曼發射激光的時候可以拐彎!
原理解説
經常關注我們正經玩專欄的小夥伴相信已經意識到這種現象的原理,就是光的全反射。
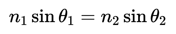
如下圖所示,在水柱中的光線來到水柱邊界。光的折射滿足折射定律,即

在入射角θ1大於一定值,滿足**θ1=arcsin(n2/n1)**時,折射光線便會消失,所有光線全部在界面處發生反射,即全反射;反射角θ2= θ1。可以認為水柱的兩條邊界平行,光線經過反射來到另一邊時,入射角不變,依然滿足全反射條件。這樣如此反覆,光線便一直被限制在了水柱中,這也就是激光會隨着水流發生彎折的原因。

光纖也是類似的原理,利用全反射將光線限制在透明的光纖中,從而實現遠距離的信息傳輸。