如何通過幾張照片算出原子彈的爆炸當量?_風聞
Moss从未叛逃-09-09 20:38
來源:微信公眾號“力學科普”
1945年7月16日,美國在新墨西哥州的阿拉莫可德沙漠中進行了世界上第一顆原子彈的爆炸試驗,這顆原子彈的威力,爆炸當量大約2萬噸TNT炸彈。由於當時美國對原子彈武器的細節都是絕對保密的,因此試爆後測的的各種數據都是不為人知的。

🔺原子彈爆炸產生的巨大蘑菇雲
直到1947年美國軍方在報刊雜誌上公佈了一系列反映原子彈爆炸後火球隨着時間擴展的照片,但這時原子彈釋放的總能量卻依然處於保密的狀態。

🔺1947年公佈的原子彈爆炸的照片
然而出人意料的是,1950年,英國力學家G.I.泰勒發表了一篇文章,根據公佈的照片序列居然將原子彈釋放的能量計算了出來。他估算美國第一顆原子彈的爆炸當量為1.7萬噸TNT當量,這一估計值非常接近之後美國總統杜魯門公佈的值。這讓美國軍方很氣惱,當然這隻能怪他們自己太大意,也低估了物理學家們的才能。那麼,泰勒究竟是如何通過幾張照片估算出原子彈的爆炸當量的呢?

🔺G.I.泰勒
泰勒當時推導出來的一個用於估值的數學公式,後來也成為了量綱分析中最經典的公式。那麼,什麼是量綱分析呢?通俗來講就是我們初高中老師教的“湊單位”,我們知道,物理推導的過程中單位也參與運算,等號兩邊的單位必須是相同的,這一點常常被我們用來檢查公式的對錯。而如果我們能夠根據一切量所必須具有的形式來分析判斷事物間數量關係所遵循的一般規律,則可以讓量綱分析成為我們分析、估算物理問題的有力工具和重要思路。
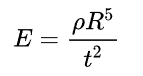
泰勒認為點源強爆炸瞬間釋放巨大的能量E,將急劇地壓縮和加温其周圍的空氣,使之以超聲速的球形衝擊波向外急速膨脹。他列出了問題的流體力學偏微分方程組,但當時無法求解這個非線性方程組。這時泰勒想到了量綱分析,假設點源爆炸球形衝擊波的半徑R僅僅依賴於爆炸後的時間t、爆炸瞬間所釋放的能量E、無量綱常數C以及空氣密度ρ。最終這個複雜問題只由5個參量描述,可寫為

利用量綱的齊次原則,便可以求出x、y、z的值,最終得到

又因為C是一個無量綱的常數,是比熱比的低階函數,因此在任何條件下都近似為1。則可以推出爆炸所釋放的能量為

1947年美國公開發表第一顆原子彈爆炸從0.10 ms到1.93 ms等時間間隔的14幀火球照片。泰勒便是根據以上模型得到的公式以及原子彈爆炸後某時刻的衝擊波半徑來估算出了原子彈爆炸釋放的能量。這個簡單的計算得到的結果同官方公開的數據(兩萬噸TNT)相差僅15%。

🔺原子彈爆炸25毫秒時刻的衝擊波
2020年8月4日一場震驚世界的港口化學品大爆炸使黎巴嫩首都貝魯特港口區成為人們關注的焦點,事發之後,許多和物理、工程學等等有關的網站上紛紛出現通過爆炸現場的視頻估算爆炸釋放的能量當量的文章,無論是專業科學工作者還是愛好者都躍躍欲試。其實,他們都是在借鑑、模仿甚至套用英國力學家G.I.泰勒當年對原子彈爆炸當量的估算。

從這個事件中我們可以感受到量綱分析工具的強大之處,同時也很好地證明了力學理論研究所具有的前瞻性。量綱分析並不只是某一個特定專業或學科的專業課程,還是許多工科專業、學科甚至不少理科相關專業研究人員或工程人員不可缺少的基礎課程。因此,感興趣的小夥伴可以查閲更加專業的書籍進行學習。
參考文獻
[1]https://mp.weixin.qq.com/s/PHm1C6VQnVkSDhQgEtKPmg
[2]https://mp.weixin.qq.com/s/vuIWeup7wlZES7cszCQQ3g
[3]https://mp.weixin.qq.com/s/wfF1mnmF23jb7PxLy22flg
[4]https://mp.weixin.qq.com/s/aj9Z9UF3NywpmkLaXD3GxQ