流感也有“後遺症”?症狀可持續幾個月_風聞
医学界-医学界官方账号-为你提供可靠、有价值的内容是我们的存在方式。55分钟前
醫學進步後,我們開始追求生存質量。這或是“長新冠”“長流感”等成為研究話題的大背景。
**撰文 |**燕小六
越來越多的證據顯示,新冠病毒等病原體急性感染後,會出現長期症狀、功能受損,極大地影響遠期生活質量和日常活動。這就是“長新冠”。
12月中旬《柳葉刀·傳染病》發文稱“長流感”也真實存在,表現為肺部、呼吸道等長期問題。“有些咳嗽、嚴重呼吸急促可能持續3個月以上。”
文章通訊作者、美國聖路易斯華盛頓大學流行病學教授Ziyad Al-Aly解釋,急性感染期症狀或只是新冠、流感感染的冰山一角。“我們需要審視、評估患者是否完全康復,包括運動水平能否恢復到感染前狀態,專注力等有沒有受影響。”
在上述研究發表同期,全球多地正面臨新一輪流感、新冠等多重感染潮。在美國15個州,新冠、流感、呼吸道合胞病毒等呼吸道病原體感染發生率處於較高或極高水平。新西蘭日均新冠感染和住院數達到今年最高。該國衞生部門稱,截至今年年末,新冠死亡數或累計達1000例,“長新冠”患者有數千人。
“長流感”什麼樣?
前述《柳葉刀·傳染病》研究由美國聖路易斯華盛頓大學醫學院等聯合完成。研究團隊利用了美國最大的綜合醫療保健系統“美國退伍軍人事務部”相關數據。Ziyad Al-Aly現任聖路易斯退伍軍人事務部衞生保健系統臨牀流行病學中心主任兼研發主管。
研究對象源自2020年3月1日至2022年6月30日因新冠肺炎住院的8.1萬名患者,以及2015年10月1日至2019年2月28日因季節性流感入院的1.09萬名患者。
在為期18個月的跟進隨訪中,研究團隊比較了兩種病原體感染後的住院、死亡風險,以及94種不良健康事件,包括情緒障礙、心衰、心臟驟停、乏力、抑鬱情緒、急性腎衰竭、糖尿病等。研究還將這些負性事件和人體器官系統掛鈎,劃入心血管、凝血功能和血液、疲勞、腸胃、腎臟、精神健康、新陳代謝、肌肉骨骼、神經和肺等10大系統。
研究的主要結果之一是,在隨訪期間,兩個感染組都普遍存在不良健康事件。
新冠病毒感染與64種(68.1%)不良健康事件“風險顯著增加”有關,包括心臟驟停、卒中、慢性腎病、認知障礙、疲勞等,累及機體所有器官系統。不良健康事件的累計發生率為每百人615.18個。
在季節性流感組中,不良健康事件的累計發生率為每百人536.90個,主要集中為6種(6.4%),包括心絞痛、心動過速、1型糖尿病、咳嗽、低氧血癥和呼吸急促等。
“這説明感染髮生後,很多人會經歷一系列慢性症狀。其中,‘長新冠’是一種多系統疾病、更具攻擊性,打擊範圍遍佈機體全身多種細胞類型。‘長流感’更多是一種呼吸道疾病,肺部系統的健康風險增幅高於‘長新冠’。”研究指出。
重複感染新冠,就是在冒險
美國著名心內科醫生、美國國家醫學院院士Eric Topol形容Ziyad Al-Aly是“高產學者”,領導了多項“長新冠”研究。
2022年10月《美國醫學會雜誌》刊發截至當時針對“長新冠”的最全面、最詳實分析,就出自Ziyad Al-Aly之手。今年8月,《自然·醫學》發表他和團隊的最新研究,詳述新冠感染後兩年內的死亡、住院和80種不良健康事件風險。
綜合媒體報道,前述《柳葉刀·傳染病》研究有一組關鍵發現,即“長新冠”威脅遠甚於“長流感”。“它還揭示出新冠對人體的損傷是多方面的,可能不是單純的呼吸道疾病,或應把它當作全身性感染來對待。而流感的長期影響侷限在呼吸道。”安徽醫科大學第二附屬醫院感染科主任醫師張振華告訴“醫學界”。
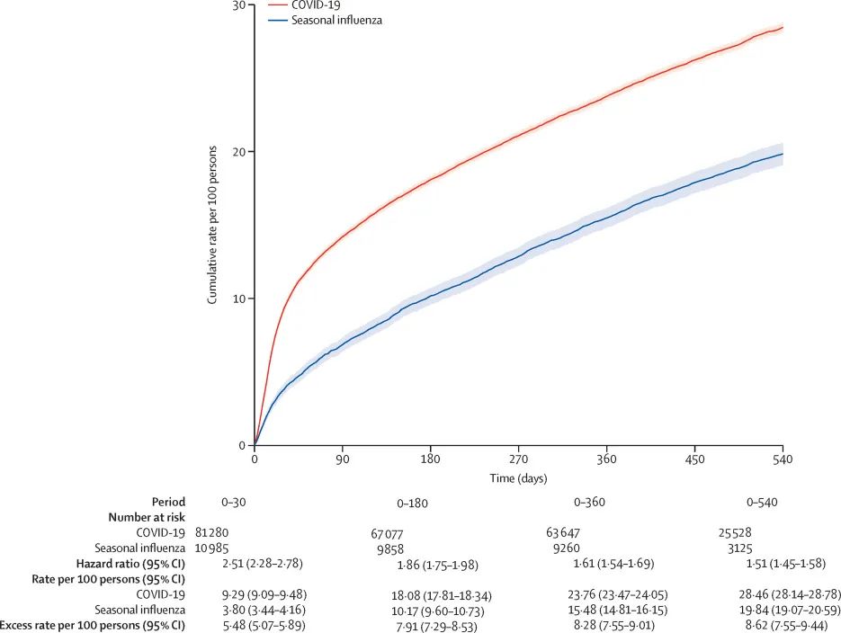
研究表明,雖然新冠病毒不斷變異、毒力有所下降,但針對不同毒株的分析顯示,隨訪30天、180天、360天和540天內,新冠感染者再住院、轉入ICU、死亡風險都高於季節性流感。相較於流感組,新冠感染組每100人有8.62例超額死亡。

圖源:The Lancet Infectious Diseases
其次,感染髮生30天后,新冠組的死亡率、不良健康事件的累計風險仍在增加,每百人的傷殘調整壽命年(DALY)達287.43。這也高於季節性流感組的242.66。
Ziyad Al-Aly表示,接種過新冠疫苗的健康年輕人在出現突破性感染後,也可能有“長新冠”,包括但不限於記憶力下降、新發糖尿病、卒中等。“目前,我們沒有任何經過驗證的有效預防或治療方法。無論是首次感染還是再次感染,新冠都是人類健康面臨的嚴重威脅。輕視它就是在冒險。最佳策略就是儘量避免感染。”
張振華認為,得出前述結果或與研究樣本有關。“都是住院患者,本身感染症狀就重,往往存在基礎疾病。”
這也是研究自述存在的兩個關鍵侷限性之一,即僅評估了住院患者,不能外推至未住院人羣。第二點是,入組者以平均年齡71歲的白人男性為主,可能限制了研究結果的普遍適用性。
病毒感染後,為啥老不好?
“放到5年前,我不會覺得‘長流感’是一個研究課題。”Ziyad Al-Aly告訴媒體,新冠大流行前,多數病毒感染不被“重視”,醫生往往會告訴患者“過幾天就好”。但經過研究,他認為“長新冠”“長流感”的危害超過新冠肺炎、季節性流感。
此前有其他研究也關注到這一點。今年10月,《柳葉刀》子刊eClinicalMedicine發文稱,感染普通感冒等常見呼吸道病原體後,人們可能出現“揮之不去”的症狀。
2021年的一項研究發現,約40%流感患者在感染後6個月內,至少經歷1種長期症狀。2022年一項針對多種呼吸道感染的研究指出,長期症狀和住院史無關,或持續3個月以上。
美國範德堡大學醫學中心重症監護室主任Todd Rice認為,新冠大流行至今,病毒感染引發長期症狀等概念引起學界關注。“有些人康復後又回到醫院,聲稱自己感染前能跑夠8公里,現在呼吸急促、只能跑一半路程。”
一名三甲醫院感染科醫生告訴“醫學界”,“長流感”的説法未免有些譁眾取寵。“很多病原體感染後都存在類似的長期問題,支原體肺炎也一樣。從來不是特定幾種病毒才有的。其發生機制複雜,有過敏體質的人更容易出現這種情況。”
《中國實用內科雜誌》2023年9月文章討論了“長新冠”的病理生理機制。可能的原因包括病毒刺突蛋白通過結合靶細胞表面的特異性血管緊張素轉化酶(ACE)2受體、進入細胞。ACE2表達的靶細胞存在於肺、腎臟、心血管、胃腸道等多個系統。此外,病毒入侵會啓動機體的免疫防禦級聯,過度免疫反應將引發炎症因子風暴,造成肺外組織器官的炎性損傷和功能異常。
“長新冠”可能出現多種心血管、神經相關疾病,或源於血管內皮損傷、凝血異常、休眠病毒再激活、炎症免疫等相關病理生理過程。它還可能與新冠病毒持續脱落、肥大細胞活化、精神心理等多種因素有關。
“現在學界對‘長新冠’的定義等仍存爭議。有的人認為症狀持續3個月,有的認為至少要持續6個月。時間範圍不同,患者數量就有很大差異。”張振華指出,“長新冠”引領了一系列“長**”研究。“長流感”可能在臨牀確實存在,但發生率很低,後續還需要進一步研究證實。
他表示,或許,曾經流感也會導致多器官損傷、有大量長期症狀。但隨着時間推移,大家都感染過流感、有了免疫力,“長流感”也就消失了。如今,新冠病毒感染後,核酸檢測陽性能持續很長時間。這種情況很少發生在流感病毒感染後。
“醫學進步後,我們開始追求生存質量。”張振華認為,這或是“長新冠”“長流感”等成為研究話題的大背景。
資料來源:
1.Long-term outcomes following hospital admission for COVID-19 versus seasonal influenza: a cohort study. The Lancet Infectious Diseases. Dec.14,2023. DOI:https://doi.org/10.1016/S1473-3099(23)00684-9
2.https://www.moh.gov.sg/
3.You’ve Heard of Long COVID. Long Flu Is a Health Risk, Too. Time
4.There’s ‘long flu,’ too: Influenza can lead to long-lasting symptoms, study finds. NBC News
5.Incidence, co-occurrence, and evolution of long-COVID features: A 6-month retrospective cohort study of 273,618 survivors of COVID-19. Plos Medicine. doi.org/10.1371/journal.pmed.1003773
6.長新冠綜合徵概述. 中國實用內科雜誌. DOI:10.19538/j.nk2023090101