室温超導又來了?這次該怎麼吃瓜?
None
7月27日,微信公眾號“中科院物理所”發表文章《室温超導又來了?這次該怎麼吃瓜?》。

截圖自微信公眾號“中科院物理所”
以下為全文內容:
前幾天,韓國一個研究組發表了一篇論文[1],宣稱實現了臨界温度超過400K(約127℃)常壓室温超導。
這個消息過於炸裂,是真是假一時間眾説紛紜。其他研究組的實驗已經在路上,很快重複實驗就將揭曉謎底。
超導領域最近的新聞是真不少,先有美國迪亞斯在三月份搞了個大新聞,後有韓國科學家直接合成出400K超導材料。中間還有我國科學家實現液氮温區超導。沒辦法,誰叫超導是物理頂流呢?
如此亂花迷眼的超導新聞,普通人卻只能對着論文裏的圖表發愣。看着熱搜裏大v分析得頭頭是道,動輒收穫成千上萬個贊同,我們只能喊聲“太酷辣!”

這樣吃瓜實在太不優雅了!今天,小編就作為超導實驗的“行內人”,跟大家聊聊如何發現超導論文裏的小細節,不學量子力學,也能像內行一樣,優雅吃下這個室温超導的瓜。
超導論文裏會寫啥
超導究竟是什麼?這個問題許多科普文章已經回答過了:它是物質的一種特殊狀態;它有兩個最主要的指標,分別是臨界温度和臨界磁場。超導體電阻為零,可以無損耗地輸電;它有完全抗磁性,液氮超導磁懸浮就是很直觀的表現;它可以很方便地按照電磁感應定律產生強大的磁場,用來做醫院裏的核磁共振……但是,科普文章之外,科研人員究竟在研究些啥?他們寫出來的論文又會體現哪些成果呢?
儘管超導已經是物理學一個很細的分支了,但它還能分成更細的研究方向:超導材料與物理性質、超導機理、超導奇奇怪怪的實驗、超導應用……能上頭條新聞的主要是發現新的超導材料並測定簡單物理性質,主要是為了告訴大家“我合成了一個新的材料,它超導,測到的臨界温度和臨界磁場分別是X和Y”。
超導體可以測量的物理性質有很多,其中最不可或缺的就是電阻率隨温度的變化和磁化率隨温度的變化,對應着超導的兩個基本性質零電阻性和完全抗磁性。電阻我們在中學就已經學過。當超導材料從臨界温度Tc以上降温時,電阻(或者説電阻率)會在Tc突然降低並很快變成零。

一個典型的超導轉變處電阻突變 [2]
磁化率反映的是材料對外界磁場的響應,是一個無量綱量。當外加一個磁場H(單位是Oe(1 Oe=10-4T)),材料就會顯示出一個磁矩M(單位emu)。磁化率χ=M/H。超導材料表徵一般用體積磁化率χ=M/(H·V),如果體積不好測量也會用質量磁化率χ=M/(H·m),其中體積單位是立方厘米,質量單位是克。
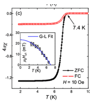
由於完全抗磁性的存在,超導樣品磁化率隨温度的變化與施加外場的時機關係很大。因此測試的時候一般會測兩條曲線,一條叫場冷曲線(field cooling, FC),另一條叫零場冷曲線(zero field cooling, ZFC)。高亮的顏色就對應着下面圖裏相應曲線的顏色。在臨界温度Tc以上,ZFC和FC曲線基本重合;在Tc處,從高温到低温ZFC曲線會有一個明顯的下掉,而FC曲線基本是平的。因此Tc以下兩條曲線會有分叉。對於純的超導樣品,這個差值Δ χ=-1/4π,如果有雜質,這個差值會變小,用實際差值與理論差值簡單做個除法就可以算出超導的體積或質量分數。

一個典型的超導轉變處磁化率分叉[2]
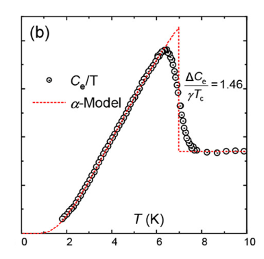
除此之外,一般的超導材料測試還會包括比熱,就是初中物理那個“水的比熱容為4.18J/(g·K)”的比熱容。僅有的一點區別是將質量比熱改成了摩爾比熱,單位成了J/(mol·K)。測量比熱是因為材料從正常態降温進入超導態會有一個相變,反映在比熱上就是Tc處的比熱躍變。具體來説,比熱隨着温度降低而下降,在Tc處會向上跳一下,然後繼續下降。

一個典型的超導轉變處比熱躍變[2]
所以,一般來説,發現新超導材料的論文會長這樣:開頭介紹研究背景,主體部分首先會介紹合成出來的材料結構以及確定結構的依據,比如電鏡、能譜和X射線衍射之類。材料合成方法不是必選項,多數作者會選擇寫出合成的條件,但更關心物理而不是材料的作者也時常會省略。
接下來論文會展示磁性,也就是磁化率隨温度的變化,這裏就可以看到超導的臨界温度了。後面是電阻、比熱。由於外加磁場會影響電阻隨温度的變化,所以一般會測很多條電阻-温度曲線,在不同磁場下測量電阻隨温度的變化。隨着磁場越加越大,超導逐漸被壓制,電阻的突變也越來越小。等電阻不再下掉的時候對應的磁場就是臨界磁場了——當然,有時候也會偷懶(bushi)少測幾條線,然後擬合外推。
到現在,必須展示的內容基本就結束了。全世界的其他研究人員看到結構,又看到磁化率、電阻和比熱,就會認可這是一種新的超導材料,開展後續的驗證和實驗。有時候論文作者還會加入一些其他的性質或者計算,開展更詳細的討論,這就豐儉由人了。
論文的彩蛋怎麼看
雖然寫論文最令人頭疼的是寫文字,但是看論文吃瓜只需要看圖就行了。圖片加上圖注信息就足夠我們看出論文想要表達的主要內容。好的文章,幾張圖一列,大家就會認可、引用;壞的文章,就算圖片處理得再好也不會被認可。粗看過去大家的圖片差不多都長一個樣子,但玄機總藏在細節裏——
01 晶體結構
目前發現的超導材料都是晶體,所以超導材料論文會有一幅圖展示用不同顏色小球代表的晶體結構。滿足晶體平移對稱性的原子排列方式並不非常多,它們可以分為七類,叫做七個晶系。根據過往的經驗來看,四方晶系會比較容易出現超導。這種結構的晶胞是一個長方體,底面是正方形。晶胞中間有很多層看上去非常雜亂的原子。有些層專門提供電子,叫電子庫層;有些層則是發生超導的地方,叫超導層。電子庫層和超導層在迄今最重要的兩個非常規超導體系——銅基和鐵基超導中都不可或缺。

一種四方晶系超導體的結構[4]
02 磁化率
磁化率需要外加磁場才能測,但外加磁場會壓制超導。臨界磁場以下,磁場越大,超導含量越低,表現在磁化率上就是ZFC曲線在Tc處的下掉出現了展寬。小磁場下筆直掉下來的磁化率,到了大磁場下可能就要多降些温度才能有同樣強度的信號。如果在幾個不同磁場下磁化率的轉變都同樣鋭利,那麼要不這個材料的臨界磁場遠遠大於測試施加的磁場,要麼就是測試或數據處理過程中出現了異常。
03 電阻
在小編眼裏,超導材料的電阻測試數據最有趣。超導體的名字“超級導電”其實就是指的零電阻性。所有宣稱自己發現了超導材料的論文都會放一張電阻-温度曲線,形狀也都大同小異:隨着温度不斷降低,電阻在Tc突然下掉直逼零點,然後很快變平。關鍵是,電阻真的到零了嗎?
電阻變成零意味着樣品中超導的部分連接成了一條通路,像一根導線一樣連接起了正極和負極。但是,許多製備得不好的樣品並沒有形成這樣的通路,它們的電阻依然會有一個明顯下掉,但不會到零。這時候數據的説服力就會大打折扣:你樣品電阻都沒到零,怎麼能説是“超級導電”呢?一點都不超級嘛。所以,常壓超導體幾乎只有嚴格的零電阻數據才能被放進論文裏;而高壓下產生的超導,受到實驗條件的限制,要求會稍微放鬆些。即使沒有嚴格的零電阻,只要有電阻的突然下掉,大家也會認可超導存在。
04 哪裏去辨什麼真共假?
測試的時候樣品當然不是靠原力控制進行測試的,總需要一些輔助結構。測磁化率時需要樣品杆固定樣品;測電阻和比熱的時候需要樣品託、需要連接電極、需要用膠固定樣品。這些輔助結構都會帶來測試的背底信號。在論文中通常會將背底信號扣除,來更直觀地表現樣品本身的性質。
但是,扣背底是個技術活,技術不好的作者有可能會在扣背底的過程中引入新的誤差。這種障眼法破解起來很簡單——看原始數據。原始數據有時會在論文附件中一併提供,去翻一翻網頁就可以了。現在很多作者會在預印本網站[3]傳一份初稿,來確認自己先來後到的位置。這些預印本網站免費公開,用家用電腦直接查就可以。
樣品不同的物理性質也不是互相獨立的,我們大可以連起來看。如果一塊樣品的零電阻測得很完美,但磁化率卻雜亂無章,那肯定有貓膩。要是測到的性質不全,那問題可能更大。
05 總結一下,如何吃瓜
到預印本平台看第一手文獻不用看那麼長的文字,看清楚圖就好。看幾個基本的性質有沒有測全看不同磁場下磁化率的下掉有沒有展寬,順便估算一下超導體積分數看電阻最低點有沒有到零看不同的性質是否匹配找找原始數據
有了這些技巧,聰明的你要不要去看看室温超導的原始論文,自己來判斷一下真假呢?
所以這次韓國的室温超導——?確實不好判斷真假。從線上到線下,信任文章結果和質疑超導真實性兩方的聲音都很大,雙方都列出了很多論據,而且互相不能説服。這些真真假假,留待眾多德高望重、浸淫超導多年的老師用實驗數據評判吧。小編的道行太淺,雖然心有傾向,但總看不穿眼前的迷霧。
不過,這次室温超導的真假並不難驗證。按韓國作者的説法,最快三天就能製備出一批樣品。全世界已經有很多研究組在快馬加鞭了。大概下週,初步的驗證結果就可以公佈。如果是真的,超導領域將會天翻地覆;如果是假的,這個悶熱的夏季就又多了一件吃瓜的樂事。小編和大家一起搬好小板凳,拭目以待~
參考文獻:
[1]arXiv:2307.12037
[2]Inorg. Chem. 2022, 61, 27, 10267–10271
[3]https://arxiv.org/list/cond-mat.supr-con/recent
[4]郭琦,類鐵基 122 型LaM2As2(M=Fe, Ru, Ni, Pd)體系的超導探索研究