小林紅曲事件提示傳統發酵產品的潛在風險防範_風聞
灵丹妙药-1小时前
由於日本小林的紅曲產品事件。紅曲被大家關注。中藥紅曲為麴黴科真菌紫色紅曲黴Monascus purpureus Went的菌絲體及孢子,經人工培養,菌絲在粳米內部生長,使整個米粒變為紅色”,由此而得名。其功能健脾和胃消食、活血化瘀止痛,主治食積飽脹、赤白下痢、產後惡露不淨、瘀滯腹痛、跌打損傷。紅曲為食療兩用的傳統中藥材,是中華民族的一項重大發明,歷史悠久。紅曲的起源眾説紛紜,目前有漢代起源説、唐朝起源説、唐宋之間起源説和宋朝以前起源説之爭”I。唐徐堅《初學記》中記載:“王粲七釋日:西旅遊梁,御宿素餐,瓜州紅曲參糅相拌,軟滑膏潤,入口流散。”據筆者考證,東漢王粲的詩賦“七釋”應屬可信,對紅曲之名最早出現在東漢應無懷疑。由此推之,紅曲在漢代已被髮明。

1978年,默沙東在土麴黴中分離得到具有降血脂作用的HMG-CoA還原酶抑制劑洛伐他汀( Lovastatin)。1987年,默沙東將成功洛伐他汀推向市場。1979年2月,他汀藥之父、日本藥學家遠藤章在紅色紅曲黴中獲得了一種對HMG-CoA還原酶具有優良抑制活性並能夠發揮降血脂作用的化合物,這種化合物命名為 Monacolin K。有意思的是,後來證明洛伐他汀 就是內酯式Monacolin K。中國藥典中也收錄了以紅曲為原料製備的血脂康片和血脂康膠囊。

內酯式Monacolin K 酸式Monacolin K
隨便講下,遠藤章第一個製備了降血脂他汀藥美伐他汀(mevastatin)的科學家。1976年,三共公司正式啓動美伐他汀開發項目,並在Ⅰ期和Ⅱ期臨牀試驗中證實了美伐他汀的安全性和有效性。然而,令人遺憾的是,一項為期兩年的犬長期毒性試驗中出現了高劑量組的腸道淋巴瘤,因而三共公司不得不在1980年終止了美伐他汀的臨牀試驗。但三共公司堅持研究他汀類藥物。三共公司的普伐他汀( Pravastatin)1989年首先在日本上市,後與施貴寶公司合作進行全球化開發,並於1991年在美國上市。
隨着紅曲的應用越來越廣泛 ,人們對其安全性的研究程度也日漸深入。1977年Xingchun Wong等人發現粗萃取的紅曲色素(crude pigment)具有抗菌活性,當時將其命名為monascidin A 但在1995年P.JBLANC等人的研究發現其和 penicillium citrinum所產生citrinin在紅外吸收光譜、NMR、MS等分析方面具有相同的特徵,monascidin A不是新物質,就是早就發現的桔黴素citrinin。

桔黴素的化學結構和降解產物桔黴素H1和桔黴素H2
Citrinin(桔青黴素、桔黴素、橘黴素 )早在在 1931年就被作為抗生素從青黴屬中分離並加以研究,主要要產生菌株有麴黴屬 (Aspergillus)、青黴屬 (penicillium)和糾纏青黴(P.implication) 等,桔黴素能抑制短芽胞桿菌、蠟狀芽胞桿菌、巨大芽胞桿菌、金色鏈球菌等的生長。一度有人認為期可能會開發為藥物。但之後的研究表明,Citrinin是一種具有較高毒性的次級代謝產物,與日本黃變米中毒有關。
桔黴素是由脂類代謝產生的一種真菌毒素 , 我們都知道真菌毒素對健康能夠產生一系列短期或長期的影響。如短期的中毒現象 ,長期的致癌性及致畸性影響。接觸真菌毒素能產生類似皮炎、感冒和流感的症狀 ,以及咽喉疼痛、頭痛、疲勞、痢疾及免疫功能下降等病症。
桔黴素在大白鼠和小白鼠皮下注射和腹膜內注射的LC50分別為67mg/ kg 和 35mg/ kg ,其毒性屬中等偏劇毒性 ,桔黴素作用的靶器官是腎臟 ,可以導致腎肥大。如在豬飼料中每天按 200mg/ kg 的用量加入桔黴素 ,在 1~2 月內會出現腎病。最新研究結果表明 ,桔黴素還對基因有毒性效應。桔青黴素能造成出生8個星期已斷奶小鼠的骨髓細胞染色體異常,主要是亞倍體、粘性及凝集性現象出現、染色體結構斷裂、偏心片等異常現象出現。
Durackva 等的研究證實,根據其 LC50值的大小, 桔黴素的毒性與黃麴黴毒素 B1 的毒性處於同一水平(LC50位於 10ug/ ml~100ug/ ml 之間)。桔黴素毒性雖然不如黃麴黴毒 B2 ,國內外仍將其作為食品污染的嚴格控制指標。包括中國、歐盟、日本等國家和地區都對紅曲產品中桔黴素的限值制定了限值,並有法定的分析方法。
這次日本小林製藥紅曲事件還在發酵。3月26日,日本厚生勞動省公佈了第二例因攝取含紅曲成分的小林製藥保健品所引發的死亡案例,且相關入院治療人數已增至106人,其中不乏需要透析治療者;據央視新聞最新報道,3月28日,又有兩名生前服用小林製藥含紅曲成分保健品的消費者死亡,截至目前,小林製藥保健品已致4死。早在今年1月,就有一名醫生提醒小林製藥注意其相關產品引發的健康問題。這段時間裏,已陸續有13名小林製藥紅曲相關產品消費者報告了身體不適,包括出現尿色變化、四肢腫脹和疲勞等症狀,且6人已入院治療。3月22日,小林製藥發佈了關於該事件的第一個公告,稱其在對製造、銷售的紅曲膽固醇顆粒及其所使用的自制紅曲原料進行成分分析後發現,部分紅曲原料中可能含有非預期的成分。雖然尚未確定這些成分與腎臟疾病之間的確切關係,但公司還是決定召回三款含紅曲產品,數量多達約30萬份。3月26日,小林製藥報告了一例死於腎臟疾病的消費者案例。據悉,該過世消費者在過去近三年間(2021年4月~2024年2月)持續訂購紅曲膽固醇顆粒。
從小林公司報告這次事件中的受害者主要是腎臟損傷。這點和桔黴素的毒理數據有些像。但桔黴素的檢測標準已經公佈了好多年了,小林公司應該是有能力檢測桔黴素的,按常理桔黴素不應該是非預期的成分。
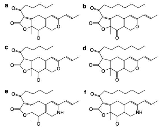
紅曲作為發酵產品,它的化學成分十分複雜。已知的Monacolin類化合物就有很多。

已知的紅曲中的Monacolin類化合物。

紅曲中部分已知色素成分(a = rubropunctatin(orange); b = monascorubrin (orange); c = monascin (yellow); d = ankaflavin (yellow); e =rubropunctamine (red); f = monascorubramine (red))
現在的研究已經證實了紅曲中桔黴素的合成路徑中,是和色素有共同的起始物料和中間體。

桔黴素和紅色素的生物合成路徑(左邊是紅色素,右邊是桔黴素)
色素中已經鑑定出的化合物也有不少。目前對於紅曲中毒理研究還是主要集中於Monacolin K和桔黴素。對於紅曲中色素和其他Monacolin類物質毒理的研究相對較少,不排除一些色素成分也會具有腎臟毒性。如果發酵中由於發酵條件變化或雜菌污染造成某些組分異常升高或生成未知化合物就可能對消費者造成身體傷害。希望這次能儘快找出藥害的原因,防止再次發生。