美國與ISIS的複雜關係_風聞
开源情报俱乐部-开源情报俱乐部官方账号-专注OSINT开源情报研究与应用44分钟前
前言
儘管ISIS-K之前早已宣佈對莫斯科槍擊案負責,但俄羅斯總統弗拉基米爾·普京暗示美國可能是此次襲擊的幕後黑手。
雖然他沒有提供任何證據來證明自己的説法,但ISIS和美國政府確實有着長期而複雜的關係,美國華盛頓利用該組織來達到自己的地緣政治目的,而且前ISIS戰士在烏克蘭很活躍。
殘酷的攻擊
3月22日,槍手在莫斯科克羅庫斯市政廳開槍,造成至少143人死亡。當局逮捕了四名嫌疑人,他們聲稱這些嫌疑人正逃往烏克蘭。這次襲擊只是計劃中的多起襲擊之一。在收到國際情報後,俄羅斯警方挫敗了其他幾起行動。
ISIS在阿富汗和巴基斯坦的分支ISIS-K立即對槍擊事件負責,西方國家,尤其是美國-認為此事是板上釘釘的事情。然而,普京卻持不同看法,他暗示烏克蘭甚至美國可能也參與其中。“我們知道是誰發動了襲擊。但我們想知道是誰下令的襲擊,”他説,並補充道:“問題立即出現了:誰從中受益?”

長期以來,莫斯科一直指責烏克蘭情報部門招募ISIS戰士,以聯合起來對抗他們的共同敵人。據信,極右翼準軍事組織Right Sektor訓練並吸收了來自高加索地區的多名前ISIS士兵,烏克蘭民兵也被發現佩戴ISIS徽章。然而,烏克蘭政府與ISIS之間沒有明確的官方聯繫,嫌疑人(均為塔吉克人)與烏克蘭沒有任何公開的聯繫。

自2015年以來,烏克蘭還訓練了極端主義的克里米亞-韃靼“克里姆”營,以對抗俄羅斯。

去年,媒體在鏡頭前拍下了戴着ISIS徽章的烏克蘭武裝人員-可能是無意的。

美國和ISIS的密切關係
許多美國的對手聲稱,ISIS與美國政府有着極為密切的工作關係,有時充當華盛頓的爪牙。例如,伊朗外交部長穆罕默德·賈瓦德·扎裏夫指責美國在中東各地從一個戰區運送ISIS戰士。前阿富汗總統哈米德·卡爾扎伊表示,他認為ISIS是美國的“工具”,他説:
“我根本不區分ISIS和美國。”
就在今年,敍利亞外交部要求:
“美國應該結束在敍利亞領土的非法存在,並停止對伊斯蘭國和其他恐怖組織的公開支持和資助。”
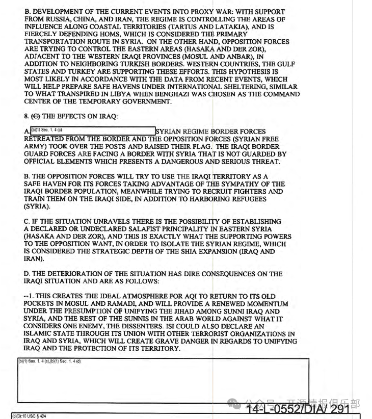
正是在敍利亞,ISIS的目標與美國最為接近。2015年,前國防情報局局長邁克爾·弗林中將哀嘆ISIS的出現是美國政府的“蓄意決定”美國。國防情報局的一份解密報告也表達了同樣的觀點,指出“敍利亞叛亂的主要推動力量”是ISIS和基地組織。該報告激動地指出:“有可能在敍利亞東部建立一個宣佈或未宣佈的薩拉菲公國”,並補充説,“這正是反對派的支持力量(即美國及其盟友)想要的。”

一份現已解密的國防部文件顯示,美國軍方官員認為支持敍利亞的基地組織和伊斯蘭國可能有助於擊敗阿薩德。
在整個2010年代,ISIS暴行的圖片不斷在網上傳播,併成為世界各地的新聞頭條,為美國提供了一個方便的敵人,以證明其在伊拉克和敍利亞駐軍是正當的。然而,在整個十年中,美國及其盟友也在利用ISIS削弱敍利亞總統巴沙爾·阿薩德的政府。當時的副總統喬·拜登説,土耳其、卡塔爾、阿拉伯聯合酋長國和沙特阿拉伯:
“他們如此決心推翻阿薩德,本質上是發動一場遜尼派和什葉派之間的代理戰爭,他們做了什麼?他們向任何願意與阿薩德作戰的人投入了數億美元和數萬噸武器。”
拜登説,這其中包括伊斯蘭國。他的言論在網上傳播開來後,他後來為自己的言論道歉。儘管如此,美國也支持了一系列反對阿薩德的激進組織。“梧桐木行動”是中情局歷史上規模最大、花費最高的項目。美國中情局耗資超過10億美元,試圖招募、訓練、裝備和支付一支叛軍常備軍的費用,以推翻政府。
現在人們普遍承認,中情局訓練的人員中,有相當一部分是激進極端分子。正如國家安全顧問傑克·沙利文在維基解密公佈的一封電子郵件中告訴國務卿希拉里·克林頓的那樣:
“基地組織在敍利亞是站在我們這邊的。”

克林頓本人非常瞭解敍利亞的局勢,根據維基解密公佈的希拉里·克林頓2014年寫給她時任競選主席約翰·波德斯塔的電子郵件,沙特阿拉伯在敍利亞衝突中的角色也引起了嚴重的緊張局勢。在對美國中東戰略的九點概述中,克林頓寫道:
“……我們需要利用我們的外交和更傳統的情報資產來對卡塔爾和沙特阿拉伯政府施加壓力,因為他們正在向該地區的伊斯蘭國(ISIS)和其他激進遜尼派組織提供秘密的資金和後勤支持。”

希拉里·克林頓2014年的泄密郵件
儘管ISIS經常襲擊中東地區的各種敵人,但它實際上在2017年向以色列道歉,因為其戰士錯誤地在敍利亞佔領的戈蘭高地地區向以色列國防軍發動了迫擊炮襲擊。
同年,美國對阿富汗境內的ISIS-K發動了重大襲擊,在楠格哈爾省的隧道網絡上投下了GBU-43/B MOAB炸彈。這是有史以來最大規模的非核打擊,據報道造成至少96名ISIS成員死亡。然而,ISIS似乎並沒有特別想反擊美國。相反,它等到美國撤離阿富汗後才對新成立的塔利班政府發動了一系列毀滅性的襲擊。其中包括喀布爾國際機場爆炸案,造成180多人死亡,以及兩個月後的昆都士清真寺爆炸案。塔利班指責ISIS實施了美國指使的破壞穩定行動。
全球恐怖網絡
雖然ISIS與美國之間的確切關係永遠不得而知,但可以確定的是,幾十年來,華盛頓一直在為世界各地的恐怖組織提供武裝和訓練。在利比亞,美國與聖戰民兵聯手推翻了世俗主義領導人穆阿邁爾·卡扎菲。利比亞不僅從北非最繁榮的國家變成了一個政治和經濟混亂的國家,而且戰鬥還引發了整個地區動盪的浪潮——這種情況一直持續到今天。
在尼加拉瓜,美國資助極右翼敢死隊,企圖推翻左翼桑地諾民族解放陣線。這些部隊殺害和折磨了大批男女老少;據信,美國訓練的這些組織殺害了尼加拉瓜約2%的人口。里根政府為其對尼加拉瓜的干預辯解稱,該國是“中美洲日益嚴重的危險,威脅着美國的安全”。樂施會反駁説,尼加拉瓜真正的“威脅”是它是其他國家可以效仿的“好榜樣”。
與此同時,在哥倫比亞,歷屆政府都幫助武裝和訓練保守的準軍事部隊,這些部隊不僅對左翼游擊隊發動了殘酷的戰爭,而且對整個平民百姓也發動了殘酷的戰爭。這些極端暴力事件導致740多萬哥倫比亞人流離失所。
唐納德·特朗普曾打趣説,巴拉克·奧巴馬是“ISIS的創始人”。雖然事實並非如此,但毫無疑問,美國確實培育了該組織,看着它發展成如今的勢力。至少,美國對其行動視而不見,並慫恿其襲擊共同的敵人。至少從這個意義上講,每次ISIS襲擊,華盛頓的手上都會沾滿鮮血。