Nature子刊 | 發現多吃蔬菜水果少吃紅肉會降低抑鬱、焦慮及其共患病發生風險_風聞
葆力医学观察-专注生物科研领域,趣味科普与行业干货齐飞39分钟前
高質量飲食對精神健康疾病的積極影響受到了廣泛關注。EAT-Lancet飲食模式由適量的海鮮和家禽組成,大大限制了紅肉、添加糖和飽和脂肪的攝入。現有的觀察性研究表明,EAT-Lancet參考飲食與多種疾病和死亡率呈負相關。然而,缺乏關於EAT-Lancet參考飲食和心理健康之間聯繫的研究。
2024年7月3日,蘇州大學柯朝甫團隊在Nature Communications 在線發表題為“Adherence to the EAT-lancet diet and incident depression and anxiety”的研究論文,該研究旨在調查生物樣本庫中180,446名英國參與者堅持EAT-Lancet 參考飲食(EAT基金會和《柳葉刀》雜誌共同制定的一種健康和可持續發展的飲食模式)與抑鬱、焦慮及其共患病的潛在關聯。對EAT-Lancet飲食的依從程度被轉化為三種不同的飲食評分。
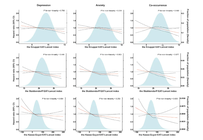
在11.62年的隨訪中,與最低依從性組相比,Knuppel EAT-Lancet指數最高依從性組的參與者表現出較低的抑鬱風險(風險比:0.806, 95%CI:0.730-0.890)、焦慮(0.818, 0.751-0.892)及其共患病(0.756, 0.624-0.914)。Stubbendorff EAT-Lancet指數的相應風險比(95%CIs)分別為0.711(0.627-0.806)、0.765(0.687-0.852)和0.659(0.516-0.841),Kesse-Guyot EAT-Lancet飲食指數為0.844(0.768-0.928)、0.825(0.759-0.896)和0.818(0.682-0.981)。研究結果表明,堅持EAT-Lancet飲食發生抑鬱、焦慮及其共患病的風險更低。

精神健康障礙是一個日益嚴重的全球健康危機,也是過早死亡的主要原因,但這也是本可避免的痛苦。精神健康疾病影響了近30%人的一生,是殘疾調整生命年(DALYs)的第七大原因,2019年達到1.25億DALYs。在精神疾病中,抑鬱和焦慮在2019年殘疾調整壽命年中分別排在第一和第二位,尤為令人擔憂。抑鬱和焦慮會增加心血管疾病、虛弱和全因死亡的風險,越來越多的證據表明,抑鬱和焦慮的共患病比單獨患病會帶來更嚴重的後果。此外,COVID-19大流行的出現使得公共心理健康問題變得非常關鍵。據估計,由於COVID-19大流行,全球抑鬱症和焦慮症病例分別增加了5320萬和7620萬例。考慮到抑鬱症和焦慮症造成的實質性損害和巨大的健康負擔,對其進行綜合評估並確定可改變的風險因素,以實現抑鬱症和焦慮症的初級預防,是一項緊迫的公共衞生事務。根據國際營養精神病學研究學會的説法,在研究、教育、政策和健康促進的支持下,營養醫學被認為是精神病學實踐的主流。由於營養在神經內分泌系統中的重要作用,飲食質量差導致營養攝入不均衡是精神障礙發展的重要危險因素。因此,飲食是預防和治療這些公共衞生疾病的潛在方法。在研究飲食與精神障礙之間的關聯時,飲食模式分析可以反映營養物質和眾多食物的多種組合,超越了對單一營養物質或食物的分析。飲食模式(如地中海飲食、停止高血壓的飲食方法(DASH)和植物性飲食)與抑鬱或焦慮風險的關聯以前也有過報道。然而,這些飲食模式主要關注人類健康。

Knuppel、Stubbendorff和Kesse-Guyot EAT-Lancet指數與抑鬱、焦慮及其共發風險概率之間的關聯(摘自Nature Communications )鑑於當前的食品生產對環境造成的顯著負面影響,2019年,EAT-Lancet委員會提出了EAT-Lancet參考飲食模式,旨在改善地球環境並增強人類的健康。《EAT-Lancet參考飲食》考慮了健康、營養攝入和環境之間的多重聯繫,並提供了一套全球範圍內的飲食建議。總的來説,這種飲食模式主要以植物為基礎,強調蔬菜、水果、全穀物和堅果的攝入。EAT-Lancet飲食模式由適量的海鮮和家禽組成,大大限制了紅肉、添加糖和飽和脂肪的攝入。現有的觀察性研究表明,EAT-Lancet參考飲食與多種疾病和死亡率呈負相關。然而,缺乏關於EAT-Lancet參考飲食和心理健康之間聯繫的研究。據作者所知,沒有研究評估EAT-Lancet飲食模式是否與患抑鬱症和焦慮症的風險有關。該研究旨在調查一個大規模的英國成人隊列中,堅持EAT-Lancet參考飲食與新發抑鬱症、焦慮症以及抑鬱症和焦慮症共病之間的潛在聯繫。結果表明,堅持EAT-Lancet飲食與抑鬱、焦慮和共患病的風險降低有關。這種關聯在3個常見但不同量化的EAT-Lancet指數中是一致的。研究結果表明,通過堅持這種可持續的飲食模式,可以預防抑鬱和焦慮。參考消息:https://www.nature.com/articles/s41467-024-49653-8