研究發現,年輕時養貓,以後患精神分裂症的風險或高2倍以上_風聞
简单快乐-昨天 22:13
醫學權威 2023年12月23日 22:31
一項新的研究指出,年輕時養貓可能與未來發展精神分裂症的風險增加有關。這項研究由澳大利亞昆士蘭大學的研究團隊在《精神分裂症通報》期刊上發表,其研究論文標題為“養貓與精神分裂症相關疾病和類似精神病的體驗:一項系統回顧和薈萃分析”。
研究表明,這種聯繫可能與弓形蟲的感染有關。弓形蟲是一種微小的原生動物寄生蟲,主要生活在貓的腸道內。這種寄生蟲在全球普遍存在,約有25%的人類曾被感染。在中國,感染率介於5%至20%,某些地區甚至超過30%。
弓形蟲對人類構成潛在風險,尤其是對孕婦和免疫功能低下的成人。孕婦感染弓形蟲可能對胎兒造成嚴重傷害,包括先天性缺陷、失明和神經功能障礙。對於免疫力低下的成年人來説,感染弓形蟲可能導致失明甚至死亡。
人類主要通過接觸貓的糞便或貓砂而感染弓形蟲,因此貓常被視為弓形蟲的主要傳播源。澳大利亞昆士蘭大學的最新研究進一步探討了養貓與精神分裂症風險之間的潛在聯繫,為我們理解這一複雜的健康問題提供了新的視角。

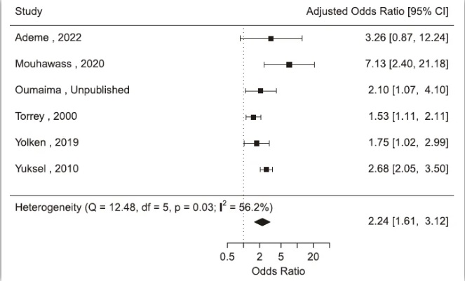
這項研究發現,早年養貓與以後患精神分裂症的風險增加有關。研究人員分析了17項來自11個國家的研究,發現與沒有接觸過貓的人相比,25歲之前養貓的人以後患精神分裂症的風險要高2.35倍。

這意味着,如果在25歲之前養了貓,以後患精神分裂症的風險會比沒有接觸過貓的人高出2.35倍。即使考慮了其他可能的影響因素,這個風險仍然高達2.24倍。
簡單來説,養貓可能會增加患精神分裂症的風險,尤其是在年輕的時候。所以,如果關心自己的健康,在青少年時期要避免與貓接觸可能是一個好主意。

這項由澳大利亞昆士蘭大學的研究人員進行的研究提出了一個引人注目的假設:早期養貓可能增加患精神分裂症的風險,這可能與弓形蟲感染有關。弓形蟲是一種廣泛分佈的寄生蟲,對人類健康構成潛在威脅。貓是弓形蟲的終極宿主,人類可能通過接觸貓的糞便或貓砂而感染。
弓形蟲的感染在全球範圍內相當普遍,據估計,全球約有25%的人口曾經感染過弓形蟲,中國的感染率在5%-20%之間。對大多數免疫功能正常的人來説,弓形蟲感染可能無症狀或類似輕微流感,但對孕婦和免疫功能不全的人來説,可能造成嚴重的健康問題。
最新的研究發現,與未接觸過貓的人相比,25歲以前養過貓的人在未來患上精神分裂症或相關疾病的可能性要高出135%。研究人員認為,這種關聯可能是因為弓形蟲刺激免疫系統產生的抗體可能影響大腦發育。
此外,弓形蟲感染還與抑鬱症、焦慮症、自殺行為、攻擊性和衝動性等心理健康問題有關。研究人員建議,需要更多研究來確定養貓與精神分裂症之間的因果關係,以及找出接觸貓的最危險的時間段。
這一發現不僅為精神分裂症的預防和治療提供了新的思路,也提醒了貓主人們注意驅蟲的重要性。雖然研究結果表明早期接觸貓與精神分裂症風險增加有關,但這並不意味着所有養貓的人都會患病,因為精神分裂症的發生涉及多種因素。