Swagpp:低碳水飲食大翻車!低碳水飲食竟會增加糖尿病的患病風險,且“折壽”_風聞
熊猫儿-25分钟前
減肥風氣盛行的年代,人們總是談“碳水”色變,從生酮、斷糖到低碳,無一不把碳水化合物視為“洪水猛獸”。但問題是:碳水化合物究竟錯在哪了呢?
碳水化合物是一類由碳、氫、氧三種元素組成的大分子有機化合物,是人體的主要能量來源之一。作為不可缺少的三大營養物質之一,碳水化合物會經過消化分解成為葡萄糖,從而供給能量,並參與大腦功能的維持、身體組織的構成,以及肝臟解毒等等重要生理過程。
站在人類的日常飲食角度來看,普通成年人飲食碳水化合物的供能比應為50-65%,其提供的能量甚至超過了全天飲食攝入的一半。這麼重要的營養素,怎麼就成為了眾矢之的了呢?
可能有人要説,“少吃碳水,減肥更快!”然而,最新發表的研究給了人們一劑警示——低碳水化合物飲食(LCD)≠健康減肥!
來自澳大利亞的研究團隊發現,LCD與糖尿病風險呈正相關。具體來説,與碳水化合物攝入正常(每日飲食能量的55%來自碳水化合物)的相比,較低的碳水化合物攝入(碳水供能佔比38%)的受試者罹患糖尿病的風險顯著增加了20%。
10.1016/j.dsx.2024.103049
眾所周知,不良飲食習慣會增加罹患2型糖尿病的風險,比如:高碳水化合物飲食。高碳水飲食是指經過高度加工、含有精製糖和澱粉,因此有着較高血糖指數的飲食。這種飲食模式會刺激餐後高胰島素血癥,反而增加了飢餓感和能量儲蓄,降低新陳代謝率,最終導致體重的增加。
既然膳食碳水化合物對胰島素分泌的影響最大,那反過來説,低碳水飲食是否會對糖尿病起到保護作用呢?
但現有研究卻相互矛盾,Hosseini等人對前瞻性研究進行的Meta分析表明,低碳水飲食與糖尿病發病率之間沒有關聯;但也有臨牀報告稱,低碳水飲食會比普通飲食更有效地降低糖化血紅蛋白(HbA1c)。
為了填補這部分空白,即探明低碳水化合物飲食與2型糖尿病發病率之間的關係,研究者從墨爾本協作隊列研究(MCCS)的前瞻性大規模數據集裏,共收集到了39,185名參與者,併為其建立了LCD評分。

參與者的數據收集方法
LCD評分並不複雜。通過將脂肪、蛋白質和碳水化合物的攝入量分為11個等級,並對三大營養素的攝入情況進行打分。其中,隨着脂肪和蛋白質攝入量的增加,評分從0-10分越來越高;而碳水化合物則相反,也就是吃得越多,得分越少。將三種宏量營養素的得分相加會得到一個總的LCD得分,得分越高,意味着脂肪和蛋白質的攝入量越高,而碳水的攝入量越低。
基於LCD評分,全部的近4萬受試者被分為5個組。Q5是指LCD得分最高的五分位數,即最低碳水飲食者,這部分參與者的人均碳水化合物供能比僅為37.5%****;相反,Q1為LCD得分最低的五分位數者,他們的碳水化合物攝入量正常,佔比為55.4%;從Q1到Q5組,LCD評分逐漸升高,但碳水化合物的供能比逐漸減少。
與正常飲食的相比,更低碳水攝入量(Q4和Q5)組的參與者每日攝入的膳食纖維往往更低,同時飽和脂肪攝入量往往更高。

不同組間的碳水化合物供能比情況
經過平均13.8年隨訪之後,共記錄到1989例糖尿病病例。
結果顯示,完全調整模型顯示,LCD分數與糖尿病的發生率之間存在正相關。**與正常碳水的飲食模式(Q1組)相比,**Q5組受試者罹患糖尿病的風險顯著升高了20%,Q4組也顯著增加了19%。
也就是説,當每日的碳水化合物攝入量很低時(大約<43.1%),要當心2型糖尿病的患病風險增加。

不同組罹患2型糖尿病的風險情況
有意思的是,當研究者對身體質量指數(BMI)進行額外調整之後發現,LCD評分與糖尿病發病率之間的關聯竟然消失了!
於是,他們利用BMI進行了中介分析,發現:LCD評分與2型糖尿病發病率的關聯裏,有76%可由BMI來解釋。
其實,回顧前面提到的每日營養素供能數值會發現,低碳水飲食往往會導致更高的脂肪攝入,而高脂飲食又會增加肥胖風險,從而誘發2型糖尿病。雖然低碳水、高脂肪飲食可能會在短期內(<6個月)減輕體重,但這種程度的減重無法長期保持,甚至會導致肥胖的發生。

中介分析


不同組的WHR和BMI的關係
綜上所述,這項前瞻性縱向分析提示,高LCD評分(即低碳水化合物、高蛋白質和高脂肪飲食模式)與2型糖尿病的患病風險增加有關,而其中起到中介作用的是BMI。
不得不説,以往研究會更多地關注高碳水化合物,卻忽視了低碳水。“凡事過猶不及”,一味地降低飲食中碳水化合物的佔比是很不明智的做法,反而又會給慢性病開了一扇“後門”,甚至還可能縮短壽命。
先前,來自中南大學湘雅公共衞生學院的研究團隊發現,當每日膳食攝入的碳水化合物能量佔總能量的53.7%時,血清中的長壽相關蛋白Klotho達到最高值,能有效對抗衰老並延長壽命;而過低的碳水化合物攝入,則會相反地“折壽”。

碳水化合物供能比與血清Klotho水平之間的劑量-反應關係
關注體重管理和健康飲食是好事兒,健康意識的日益增強也沒有錯,但想“瘦”心切並採取極端減肥方法並不可取。這些被“吹上天”的低碳水減肥方法,很可能是披着“健康”皮的狼。
更準確地説,應該“擦亮眼睛”,以辯證的目光來看待低碳水飲食模式。調整飲食模式是“牽一髮而動全身”的過程,減少碳水化合物的同時,還需要考慮到用什麼來代替或補足它。
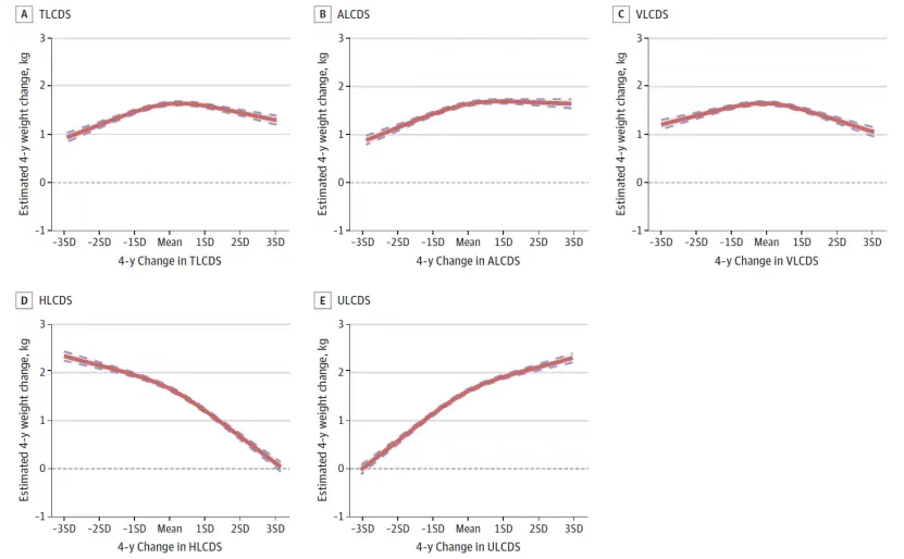
哈佛大學醫學院的研究人員在JAMA子刊上刊登的研究曾提示人們,要遠離盲目追求LCD的誤區——高質量的LCD富含植物蛋白和健康脂肪,自然與體重增長的減緩有關;但要警惕低質量的LCDs,可能會帶來相反趨勢。

動物脂肪和不健康碳水化合物的攝入與體重增加相關,而植物脂肪和健康碳水化合物的攝入則與減緩體重增長相關(doi: 10.1001/jamanetworkopen.2023.49552)
正如營養師所述,適度低碳水飲食是一套系統性的方法。簡單來説,是在控制總能量攝入的同時,不吃添加糖的食物,並用全穀物或粗雜糧來代替一部分精製穀物,而不是一味地“少吃主食”或“不吃主食”。
如果想要採用“適量低碳水法”來減肥的話,一定要記住“質”比“量”更重要。
參考資料:
[1]Kabthymer RH, Karim MN, Itsiopoulos C, Hodge AM, De Courten B. Association of low carbohydrate diet score with the risk of type 2 diabetes in an Australian population: A longitudinal study. Diabetes Metab Syndr. 2024 Jun;18(6):103049. doi: 10.1016/j.dsx.2024.103049. Epub 2024 May 31. PMID: 38838612.
[2]Liu B, Hu Y, Rai SK, Wang M, Hu FB, Sun Q. Low-Carbohydrate Diet Macronutrient Quality and Weight Change. JAMA Netw Open. 2023 Dec 1;6(12):e2349552. doi: 10.1001/jamanetworkopen.2023.49552
[3]Xiang L, Wu M, Wang Y, Liu S, Lin Q, Luo G, Xiao L. Inverse J-Shaped Relationship of Dietary Carbohydrate Intake with Serum Klotho in NHANES 2007–2016. Nutrients. 2023; 15(18):3956. https://doi.org/10.3390/nu15183956