三明模式,不會是西方的“免費醫療”_風聞
新潮沉思录-新潮沉思录官方账号-34分钟前
文 | 鄧鉑鋆
8月30日,國家衞健委宣佈五年內推廣三明醫改經驗,引發眾多討論。也是在這前後,因為頭銜是醫改專家的李玲女士“9000億免費醫療“,”國家應該直接收購罕見病藥物專利”等高論頻繁吸引公眾眼球,讓本該被從大眾角度好好討論一番的三明模型和醫療改革相關問題變成了口水大戰。沉思錄準備用幾篇文章討論下這方面問題。

先拋開李玲
想好好討論這方面問題得先排除李玲女士言論影響。我們這裏不提網上對她利益相關的那些猜測,就當她的言論都是出於嚴肅研究,然而總是因為言論造成放炮和帶節奏的效果,顯然這位學者也是需要反思下自己的言論模式是不是有什麼問題。
2016年,李玲女士曾説,“中國醫改是一羣腦子不好的人在開特奧會”,言辭犀利的批評中國醫療體制的市場化因素。筆者當時認為李玲女士言辭偏頗,撰文反駁。

市場化資源配置的核心是價格,是哈耶克大手利用價格槓桿調節供應。此時的中國醫療,服務價格由政府定價,由於歷史問題存在大量的價格扭曲,是“雙軌制”活化石, “以藥養醫”等頑疾滋生大量道德風險。
十年前“放管服”改革之前的“市場經濟”跟現在的“市場經濟”都千差萬別。説三十幾年前的“雙軌制”是市場經濟,並以此對市場經濟批判一番,好比指着一頭騾子説馬這種動物有許多缺陷,例如不能生育。
回顧多年來的醫改,你可以説改革之初曾經“腳踩西瓜皮——滑到哪裏算哪裏”,缺少長遠規劃,但你不能説改革有意識的摧毀了一個完美無瑕的體系,只為建成滿足一小撮人逐利的新機制。早期醫改的每一步,都是克服當前嚴重困難的救時之舉,同時也埋下了幾十年後尾大不掉的BUG。
然而當年沒等筆者的反駁完稿,李玲女士的學生闢謠了:“中國醫改是一羣腦子不好的人在開特奧會”是記者斷章取義。
李玲女士作為體制內的政策研究者,總被一些人當作“大國師”捧出來,然後專挑她言論中有爭議的部分放大,這倒沒什麼奇怪。筆者尊重李玲女士在這個領域的鑽研,希望她進一步澄清人們的疑惑,比如説詳細闡述中國的醫療怎麼就不如印度和俄羅斯。但是目前筆者只等來她闢謠説自己沒賣保健品,那些打着她名義的廣告都是假的。於是筆者決定不追隨李女士的節奏,只談談如何可能在我國實現進一步的全民基本醫療服務體系。
中國的高質量全民醫療體系不會等於西方國家的”免費醫療“
關於目前世界上以發達國家和地區們為主的各種”免費醫療“,這十年來在我國的民間輿論中已經充分實現了袪魅,其中如效率極低,醫保貴,社會醫療資源嚴重向私營醫療機構傾斜等各種問題已經在網絡上被廣泛科普,尤其今年大量香港人湧進深圳看病,更讓人們對香港的”免費醫療“體系有了更直觀的認識。

然而充分袪魅之後人們也容易忘記這樣一個問題。那就是發達國家和地區們的醫療體系建成並不是近一二十年的事情,而是普遍建成於冷戰時期,是冷戰時期為了與社會主義集團競爭而建設的福利體系的一部分。
比如香港初步建成猴版NHS,是在1971年。彼時香港人均GDP1106美元,剛超過全球人均GDP。麥理浩上台之後除了醫療,還搞了諸多經濟和工業建設,從那時香港經濟開始起飛。殖民總督搞建設當然不是什麼真好心,是為了對沖60年代香港的紅色運動影響,加劇香港與大陸的發展差距,為了在將來跟中國討價還價獲得更高的籌碼,但客觀上確實在相當一段時期內提高了社會醫療福利水平。
西方國家們也類似,從初衷來説,一開始還是奔着用高福利對抗社會主義國家影響的目的,至於幾十年後變成了現在這種樣子,因素很複雜,但總歸來説也是新自由主義趨勢下資本主義國家的必然發展。
所以討論這個問題的時候要明確,發達國家們現在的醫療模式問題多多,並不完全是因為模式一開始就錯了,想在我國實現進一步的全民基本醫療服務體系也不等於就會照搬西方這套模式,不等於就會搞成這樣。
“公民在年老、疾病或喪失勞動能力時,有獲得物質幫助的權利”是歷代憲法的“釘子户”條款。筆者單位建國初有位紅軍出身,長征時給教員牽馬的食堂主任。當年他平常開口就是“辦好食堂是給台灣人民看的,解放台灣、解放受壓迫三分之二,我們吃的好有重要意義。”這種想法在當年來説很美好但不現實,畢竟那時候我們很窮,但現在不同了。我們在統一祖國和構建人類命運共同體的征程上,在實現2035宏大目標的路上,要自信地展示出令人羨慕的生活方式。
我國目前的醫療和衞生費用情況
2016年OECD((經濟合作與發展組織))統計表明,發達國家人均醫療支出在4000~6000美元區間,另有美國這個醫療費高企的BUG。個人衞生支出佔比數據見下表,英國為15.11%、德國為1.43%、美國為11.08%。

我們拋開西方國家因為私營醫院和醫藥保險集團利益,腐敗等等問題造成的醫療體系問題現狀,假設體系理想狀態的話,想實現居民就醫經濟壓力較低的”體感“,居民個人衞生支出往往低於20%,甚至落在10%~15%這個區間上。而想在壓力較低的同時實現醫療體系的高質量,一般來説需要投入10%左右的GDP,在發達國家相當於每年4000美元~6000美元。
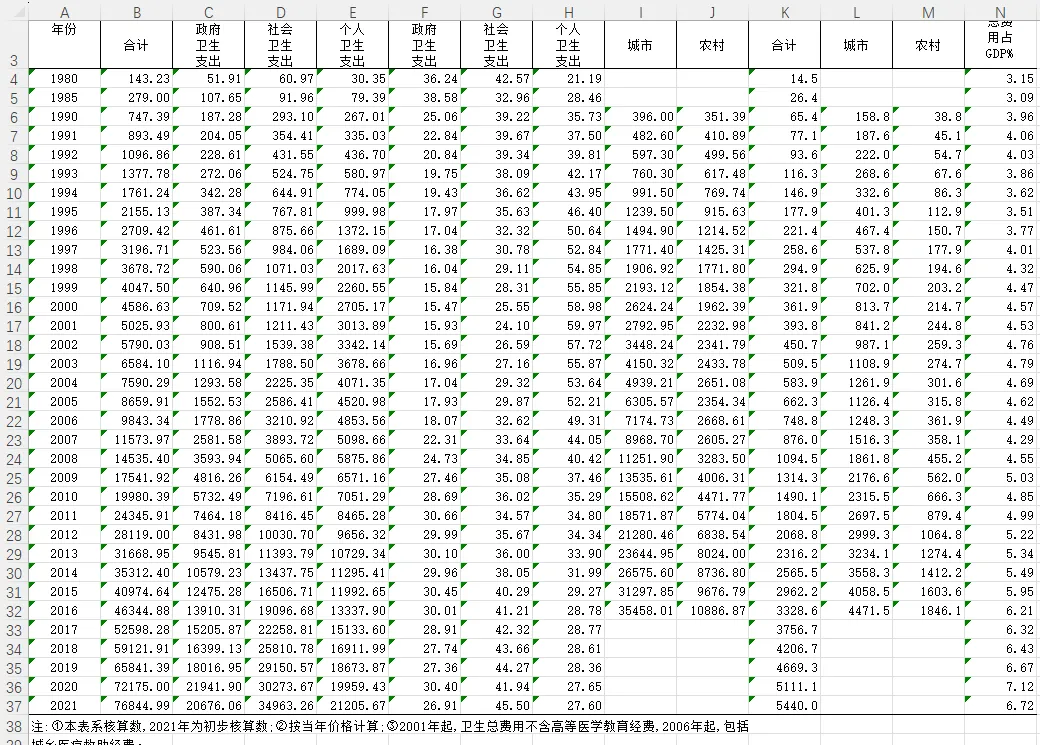
再説説我國目前醫療和衞生費用的情況。先介紹一個概念:衞生總費用。

衞生總費用是指一個國家或地區在一定時期內,全社會用於醫療衞生服務所消耗的資金總額。這是衡量一個國家或地區衞生系統整體投入的重要指標,反映了政府、社會和個人對衞生保健的重視程度和費用負擔水平。衞生總費用由政府衞生支出、社會衞生支出(包括社會保險、商業保險、社會捐助等)和個人衞生支出三部分構成,是標誌一個國家整體對衞生領域的投入高低的重要指標。
截止2023年,全國衞生總費用初步核算為90575.8億元,為近年來首次突破9萬億。2022和2021年全國衞生總費用分別為85327.5億元和76845.0億元。做全員核酸的2022年比2021年多花了一萬億,停了全員核酸的2023年又比2022年多花了五千億。與2013年(31661.5億元)相比,衞生總費用增加了約5.9萬億元。
(題外話:知道了我國衞生總費用的概念,大家再見到“北京茄盒醫院一年收入XXXX億快把醫學界隱瞞的真相告訴每一個人”或是“只要XXX億就能實現全民免費醫療”的謠言就再別點贊轉發收藏了。)
近兩年,全國衞生總費用佔GDP比重保持在7%以上,且繼續增長,但是離10%這個標準還有距離。2023年全國衞生總費用佔GDP比重為7.2%,比上一年(7.1%)增加0.1個百分點。筆者剛涉獵這一領域的時候,我國衞生總費用佔GDP比例剛超過5%。2008年新一輪醫改啓動,政府衞生支出與社會衞生支出帶動了我國醫療總費用的飛速增長,為大家提供了更多、更優質的醫療服務。所以這段時期一方面人們的醫療保障水平穩定提升,一方面就醫經濟負擔也減輕了。
衞生總費用的概念遠大於醫療支出。基礎研究、公共衞生等公共產品,通過來自税賦的財政支付,大家對這類支出沒什麼感受。保健支出、護理支出全都體現在衞生總費用的統計口徑中,這類支出基本由個人承擔。
2023年納入衞生總費用個人支出的金額是24751億元,佔衞生總費用27.3%。在很多人懷念的上世紀80年代,衞生總費用的個人支出比例剛剛達到20%。這個數字比國家統計局“個人消費”口徑下統計出“人均2460元乘以14.1億人”的醫療保健消費支出少一萬億元,估計缺口在大家自費買口罩、製氧機和輔酶Q10之類保健品上。
具體到醫療支出上,以2021年為例,該年份衞生總費用為76845.0億元,全國各類醫療機構,包括療養院和獨立檢驗機構,醫療收入為41771億元,由基本醫療保險(社保)支付了2.4萬億,可以説距離“全民免費”還有1.7萬億的靜態缺口。
我國居民的個人衞生支出比例要想達到“低壓力高質量”的體驗,即個人自付比例低於20%,人均支出至少還要降三成,甚至要再降一半以上。此消彼長,政府和保險體系的支出的衞生費用至少還要漲一到兩成,或者衞生總費用再降六分之一左右(總數下降,除了個人支付的部分其他都不變)。這似乎是一個可以觸及的目標?
然而事情沒那麼簡單,**問題不是靜態的。**真有那麼容易解決,事情就可能變成大家擔心的那樣,把現在公立醫院提供的部分醫療服務變成奢侈品轉到貴族民營醫院,這樣真就成了李玲女士的“9000億實現全民免費醫療”了。
醫療體系為何要不斷改革?
**醫療衞生體系面臨的問題永遠都是動態的。**當下隨着社會經濟的進步與老齡化的加劇,醫療支出必然繼續增長。根據聯合國相關研究,人均GDP1萬美元、65歲以上人口占比7%的國家和地區,衞生總費用佔GDP6%左右。隨着人均GDP與老齡化深入,衞生總費用佔GDP比例也會節節上升。照此研判,2050年前後,我國衞生總費用佔GDP比例必然超過10%。

此外,“長新冠”的存在,也帶來了未來社會整體健康情況的不確定性:
上海新華醫院近期在《臨牀兒科》雜誌發佈論文:該院統計了近年就診的全部91825例次上呼吸道感染患兒。疫情前組(2019.1.1-2020.1.21)14096例次,呼吸道病原體陽性5126例次(36.4%);疫情中組(2020.1.22-2023.1.8)13366例次,陽性2963例次(22.2%);疫情後組(2023.1.9-2023.12.31)64363例次,陽性33510例(52.1%)。
作者指出,疫情後各種呼吸道相關病原體陽性率升高的現象也見於其他國家,為探究其原因,各國學者相繼提出了一些假設,目前大部分討論集中於“免疫債務”和“免疫盜竊”。傾向於“免疫偷竊”假説的學者認為,SARS-CoV-2病毒以多種機制損傷人體的免疫力,這可能是其流行結束後各種呼吸道傳染病發生率上升的主要原因。

奇怪的免疫細胞T細胞耗竭如今已經成為了科學界的“顯學”,T細胞耗竭為什麼這麼重要?介紹一個常識:免疫細胞衰竭,特別是T細胞衰竭,是腫瘤進展的重要機制。
也就是説,無論如何,國家未來都必然,必須進一步提升衞生和醫療支出水平。**然而醫保控費是一個世界性難題,**病人花“大家的錢”治自己的病,求生欲是本能,必然想接受更好的治療,花更多的錢。醫生“花別人的錢辦別人的事”,不論是出於避險求穩還是出於趨利,同樣存在大手大腳的傾向。不先解決這個問題,想進一步提高支出水平恐怕難以為繼。
避免醫療費用因為“公共地悲劇”過快增長,**可以形象的稱為如何既要“請客”又禮貌的限制“客人”不要吃太多?**發達國家的醫療發展到現在,就是嚴格的醫療分級加上低下效率和私立醫院過度發達。而我國則是根據國際經驗和本土實際情況總結出的“三明模式”。
“三明模式”
關於三明模式,一篇説不完,今天只説説基本情況,過兩天再由本號的“三明本地人”劉夢龍來具體聊聊本地人的體感。三明模式包括以下幾個內容:
政府衞生支出增加,確保公立醫療服務體系公益性。三明市多年平均醫療支出增速降至低於全國均值的6%,背後是政府衞生支出增速多年高達12%。
醫療價格制定真實反映醫療成本構成,主要是大幅提升醫務人員專業勞動技能的支出,不再讓醫務人員通過“賣藥”、“開檢查單”,讓病人花大量的錢,只為找補醫務人員的一點合理收入。
醫務人員收入不再與病人實際花銷掛鈎。採取年薪制,醫務人員做得好,收入可以上浮20%,反之,最少只能拿到一半。年薪制的激勵措施從以往的“多做事多賺錢”鼓勵醫務人員慫恿病人多“消費”變為“少犯錯少扣錢”。
政府介入醫藥流通體系,擠出藥品、耗材、醫療器械的價格虛高部分,消除醫療領域腐敗的生存土壤——沒有超額利潤,沒錢打點。
總之,醫保支付成為控制醫療成本、規範診療活動的“指揮棒”。
坊間對“三明模式”的懷疑有許多。包括限制高年資醫生自主調節收入會不會導致人才流失;“三明模式”會不會變成新“大鍋飯”,醫療機構缺少服務精神;以及醫院會不會走向另一個極端,降低病人的治療強度,刻意省錢等等。
其中的具體情況我們在下篇文章中詳細聊聊。總體上來説,**三明模式受益的是底層,這個底層不是網絡上自以為的“底層”,而是縣鄉以下的真底層。**對當地底層來説花錢少、在基層診所開藥方便,當地無法醫治的大病前往上級醫院就診沒有限制。實際上三明模式一開始之所以會出現,是被當地以小吃從業者為主的醫療羣體普遍有錢,健康狀況差,醫保耗費多,導致入不敷出的情況給逼出來的。
先不用太擔心醫療人才流失的問題。比如英國NHS這麼怨聲載道,其實當地衞生總費用只有3.25%是商業醫保支付的。商業醫保用於支付民營醫院,總量3.25%的盤子,就算對資深醫療從業者來説也很小。
高端貴族醫院不是一朝一夕能建成的。最近四十年新成立的醫院,全國排名進入一百強的只有四家:
中日友好醫院是1980年由日方捐助1.4億元建成的中國現代化大型醫院標杆,開業時的牀位規模是協和的兩倍,衞生部直屬,跟協和醫院平輩;醫院在人才、政策擁有強力支持,現在排名都沒進北京前五。
浙大邵逸夫醫院,浙大代管,全美式管理規章,也就是在浙江省內有些知名度。
北京安貞醫院,接盤了北京胸科醫院的大批人馬,實力跟同類型的百京阜外醫院還差一點點。
北京天壇醫院,業界泰斗王忠誠院士帶走了宣武醫院的整個神經外科團隊,這才讓醫院在神經醫學領域與宣武醫院平起平坐。
如今北京民營醫院的旗艦——XX大學國際醫院,成立十年,曾經在京圈高端醫療市場要風得風要雨得雨,大眾有多少人聽説過呢?
對中國的情況來説,只要不搞“賣光”式改制,民營醫院在未來相當長一段時間只能作為公立醫院的補充。

醫保支付帶動醫改
“三明模式”伴隨着醫保支付工具的改革。醫保支付工具包括按項目付費、按病種付費、按牀日付費等。按病組(DRG)和病種分值(DIP)是代表性的技術工具,支付方式主要是通過對疾病診療進行分組或折算分值,進行“打包”付費。
根據病人的年齡、性別、主診斷、合併症與併發症、手術與否等情況,DRG/DIP提供了數千種排列組合規範醫療費用範圍,以此指導診療。對“不按照課本生病的病人”,比如因住院時間長、醫療費用高、新藥耗新技術使用、複雜危重症或多學科聯合診療等不適合按DRG/DIP標準支付的病例,醫療結構可自主申報,向醫保部門提出特例單議進行撥款。
以往醫院換取超額收益的KPI是讓病人多花錢。今後醫院的KPI變成幫醫保多省錢,省下的錢才是“自己的”。今後的改革方向,醫保撥付費用打包以區域為單位。即一個地區的醫療機構集團要保證居民少患病、少就醫,才能實現利益最大化。醫療機構的KPI從“多治病”轉為“保健康”。
醫療成本得到控制,人均支出降一兩成;醫院KPI變為保健康,讓人們少生一些病。實現全民免費醫療的資金投入缺口不就小了麼?本來就是政府與社會支出增加一兩成,個人支出降三成到一半的事情。
“打包付費”並不是中國專利。在市場化醫療毒瘤美國,控制醫療費用過快增長效果最好的凱撒醫療集團就是這個套路。凱撒醫療通過這一特色,從幾個為造船廠提供廠醫服務的診所醫生躍升為全美最大的醫療集團。
效率與公平
就像讀者們都清楚,不存在某些羣體臆想中的那種不管生什麼病都能馬上獲得高水平治療,花多少錢都能報銷的”免費醫療“。我們剛才也強調,三明模式受益的是”真底層“,實際上各種各樣的普惠醫療制度本質上從來都不是社會福利,而是醫療資源的組織方式。就像上面説的,如何既要“請客”又禮貌的限制“客人”不要吃太多。説穿了,西方國家的種種“免費醫療”體系,本質上都是讓底層佔中產便宜。
我國的情況更為複雜,目前我國的高效醫療體系,最受益的可以説是縣城往上的城市居民。我們顯然不能説縣城往上就都是中產了,未來的醫改進一步往底層和普惠的方向傾斜,那麼縣城往上羣體的醫療利益在相當一段時期內是會受到影響的。
從普及新農合開始,我國基層和農村醫療服務和投入的提升是世所矚目的,極大避免了因病返貧的悲劇。然而這還不夠,網絡上經常出現的交不交新農合的爭吵,一部分原因自然是因為狹隘思維作祟或觀念普及不到位,**但也不得不承認,還有很多底層羣眾就是會為因為這每年幾百塊錢,或者因為就醫起步報銷水平之下的開銷而打退堂鼓。**底層的普惠還不夠,而城市中醫保浪費的情況確實在發生,這就是需要改革的理由。

大家都擔心三明醫改會不會導致效率下降,這要分兩方面來説,首先從牀位上,我國千人牀位數量是高於西方的,比如美國2.9,英國2.4,而我為是6.9。西方是依靠嚴格的分級診療和醫療技術提升帶來的縮短出院時間來實現低牀位運轉。
這種模式好處是能普及更多人,但顯然也有風險。內科病人出了急性發病期就從醫院轉診到社區,外科病人甚至沒出圍術期就轉院,澳大利亞的心臟外科在體外循環下接受心臟瓣膜置換手術的病人,術後第四天就該轉院到護理院。這種模式在經濟上利於全社會的絕大多數成員,卻會增加併發症患者的不良預後——最嚴重是死亡。
針對我國存在的普遍多住院的情況,這種模式會讓很多城市居民感到利益受損。但省下來的錢對於縣以下的醫院來説,確實是實實在在的設備和就診質量提升。當然了還是要往好處想,隨着中國社會經濟的進步,讓居民們普遍更少生病,當下醫院發展建設過分看重的住院部,在未來或許會成為重複建設的資源浪費。採取高效率的動作方式,我們是完全有可能兼顧效率和醫療充足的。
另一方面就是醫護培養和待遇問題,具體行業問題先不談,只要不搞醫療私有化,這個問題的解決就還是得落到財政上。**“三明模式”的最大特徵就是財政支持。**三明市多年平均醫療支出增速降至低於全國均值的6%,背後是政府衞生支出增速多年高達12%。政府有錢,醫療就辦得好。政府沒錢,“三明模式”的效果就要打折扣。
還是要往好處想,高質量全民醫療和衞生體系的系統工程會幫助大家更健康、少生病,節約了總開支,餘下的靠既要又要還要也要更要就能閃轉騰挪出來。而且就像前面説的,西方在冷戰中建立起來的醫療體系初衷還是好的,但是被私有化浪潮,各種利益集團和各式各樣的腐敗執行壞了。對於我國在發展和改革過程中對這些問題的有效抵禦,我們應當有足夠的信心。
最終,醫療和衞生體系的發展目標還是要讓人們少生病而不是可以天天住院。這個目標也不是光靠醫療改革就能完成,後面我們也會出相關文章聊聊一些推測和設想。但起碼,當下以傾斜底層,讓醫療體系更普惠更高效為目標的改革確實勢在必行。
一方面,這是社會經濟發展的需要和我國作為社會主義國家對底層人民的承諾,另一方面,在新冠大流行之後,人們的健康狀態確實普遍受到了影響。去年一波又一波的病毒相信讓很多家長有深刻感受。而且新冠至今並未消失,這是無論如何都不能迴避的事實。在老齡化趨勢的當下,羣眾整體健康情況更好或是更差,帶來的很可能是截然不同的發展結果。
所以,對保持原地不動是很有必要往壞處想的。畢竟真實的世界不是你想原地不動就可以無事發生。