DeepSeek爆火背後:2025年AI大模型的潮水會流向哪?_風聞
产业家-产业互联网第一媒体5小时前

從當下來看,DeepSeek的出現打破了固有的算力、模型中的部分環節掣肘,但仍有很多問題尚待解決,比如模型的定向蒸餾,比如數據體系的構建,再比如生態體系中各方利益的交叉配合等等,這早已經不僅是一道技術命題,而更是一個行業向上的產業命題。
不過,能肯定的是,2025 年中國 AI 大模型的產業潮水必然洶湧澎湃,勢不可擋。
作者|鬥鬥
編輯|皮爺
出品|產業家
DeepSeek 的出現,彷彿逐漸為 AI 的落地應用勾勒出了一個確定性的未來藍圖。
在過去的幾年間,AI 大模型的入場門檻早已被清晰標定 —— 上萬億的參數規模、超強的算力支撐以及海量且優質的的數據資源,這些都意味着高昂的 “入場價格”。
2025 年春節期間,DeepSeek 如一匹黑馬,強勢打破了中外 AI 大模型競技場原有的規則。
這家原出身量化機構的團隊將大模型的參數大幅削減至原來的 1/10,藉助強化學習與模型蒸餾技術,使得一個小模型在數學題解答方面力壓 GPT - 4o。不僅如此,DeepSeek 還開源代碼、開放 API,以超低的價格展現出肩比 OpenAI 的強大能力,這讓國內外網友紛紛驚歎於這 “神秘的東方力量”。
從某種層面來説,這些在水面之上的表現固然令AI行業為之震撼,但幾個更應該被延長時間線思考的問題恰還是盤繞在2024年AI行業上空的幾個核心命題:即產業大模型距離我們有多遠?在數據、算力、模型的三層節點上,在去年幾乎達成共識的AI應用上,DeepSeek 這個“現象級事件”到底會帶來什麼影響?
2025年,產業數智化的大幕已然悄悄拉開。
一、技術範式變了,
模型邁進“價低物優”時刻
在傳統 AI 大模型的落地過程中,存在着諸多限制其廣泛應用的難題。其中,“看不到希望的燒錢”,位列第一。
以 GPT - 4 為例,其訓練數據量高達 13 萬億 token,涵蓋了互聯網全領域的文本。如此海量的數據標註工作不僅成本高昂,而且耗時費力。同時,其對算力的需求也極為龐大,依賴數萬張 A100 GPU 集羣,單次訓練成本超過 1 億美元。這種高昂的成本和資源需求,使其技術很難落地。
DeepSeek的倍受推崇之處也恰在此,即其可以通過純強化學習(RL)實現 “自我進化”,使其在數據準備方面具有顯著優勢。
換言之,它無需標註數據,這大大降低了數據準備的成本和難度,為開發者節省了大量的時間和精力,讓他們能夠更加專注於模型的訓練和優化。
同時,DeepSeek 的獎勵設計極簡,僅用 “答案正確性” 和 “格式規範” 作為獎勵信號。這種簡潔的獎勵機制避免了複雜獎勵模型可能導致的 “作弊” 風險,使得模型訓練更加高效、穩定。
這種極簡獎勵設計,還能夠更好地引導模型朝着正確的方向發展,提高模型的訓練效果。避免一些意想不到的情況,導致模型訓練出現偏差。
此外,DeepSeek 採用 GRPO 算法,用組評分替代傳統 Critic 模型,算力消耗降低 30% 以上,進一步降低了對硬件資源的需求,也就是俗稱的對“卡”的依賴。
值得注意的是,其模型能力也並未因算力的降低,而大打折扣。
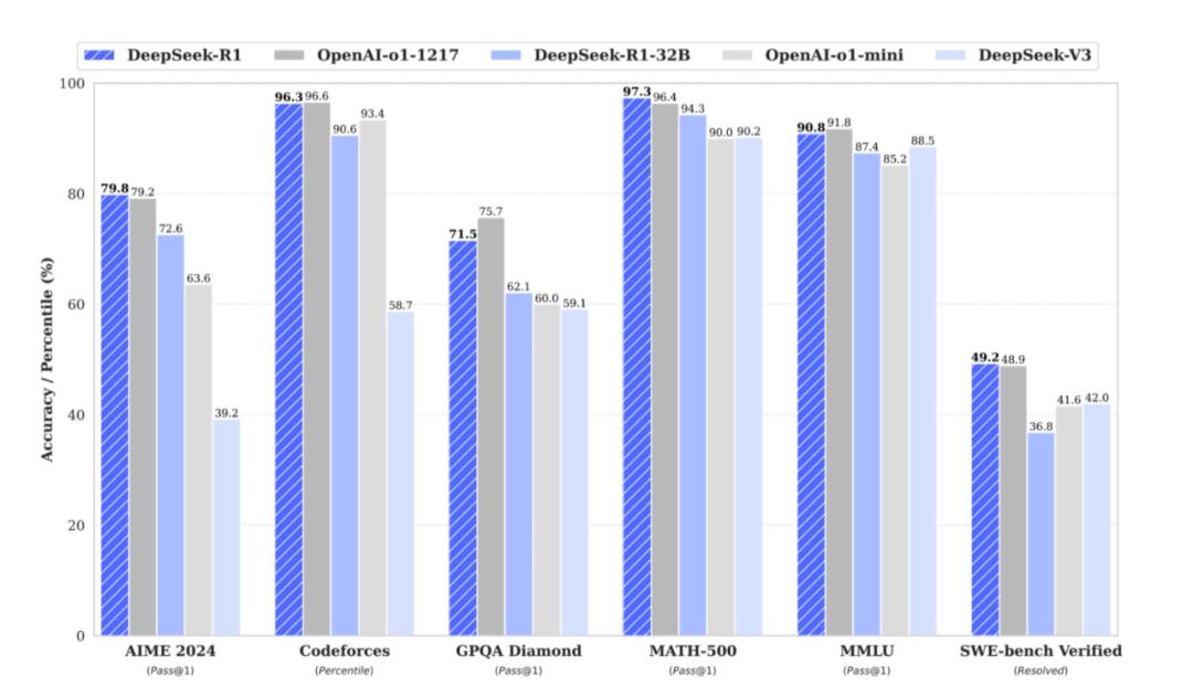
在DeepSeek發表的論文中,一組數據顯示DeepSeek-R1 在 AIME 2024 測試中取得了 79.8% 的 Pass@1 得分,略⾼於 OpenAI-o1-1217。在 MATH-500 上,其得分達到了 97.3%,表現與 OpenAI-o1-1217 相當,並顯著優於其他模型。

在DeepSeek身上,外界似乎在發現,算力、參數似乎不再是AI的入場門檻,或者更準確來説,是在DeepSeek身上,外界看到了一種更為適配AI落地的低門檻、低成本方式,從成本側更利好落地。
而從產業側來看,這種變化的最佳受益者是中大型廠商。過去兩年時間裏,不論是大型央國企,還是高校,抑或是民生部門等等,都基於大模型的項目面向市場公開招標,其中涉及到的很大一部分恰是預訓練項目,這些項目的單價往往超過千萬乃至上億,作為企業的定向投入。
但在DeepSeek之後,能夠預測的是,今年的中大型大模型項目的標的將會發生顯著變化,對於中大企業乃至央國企而言,其可以以更低的成本進行大模型項目的部署,或者把重點更多的轉移到數據治理環節,進一步提高最終的模型效果。
同樣受益的還有小型的科技公司,以往其可能因為資金和技術限制,無法涉足 AI 領域。但 DeepSeek 的出現為他們提供了可能,企業可以利用相對較低的成本,基於 DeepSeek 開發出適合自己業務需求的 AI 應用,推動公司業務的發展和創新。
總體來看,**隨着強化學習(RL)技術範式的變革,不僅 AI 大模型的落地門檻、落地成本將會降低,還為更多的企業和開發者提供了參與 AI 創新的機會。**這不僅有助於推動 AI 技術的發展,也為各行業的數智化轉型和升級提供了新的動力。
二、開源加速:
垂直小模型的時代來了
在DeepSeek公佈的論文中,除了RL技術範式的變革,還有另外一個亮點,就是跨維度知識蒸餾體系的構建。
一組數據顯示,DeepSeek-R1-Distill-Qwen-7B在AIME 2024評測中以55.5%的得分超越原版QwQ-32B-Preview,參數規模縮減81%的情況下性能提升23%。其32B版本更在MATH-500測試中達到94.3%的驚人準確率,較傳統訓練方法提升近40個百分點。
其通過將32B大模型的推理邏輯解構為可遷移的認知模式,再經由動態權重分配機制注入到7B小模型中,實現了"思維範式"而非單純"知識記憶"的傳遞。
這種技術路徑下,小模型不僅繼承了大模型的解題能力,更習得了問題拆解、邏輯推演的元能力。這也意味着⼤型模型的推理模式可以蒸餾到⼩型模型中,其性能優於直接在⼩模型上強化訓練的結果。
在人工智能領域,“模型越大,性能越強"的認知長期佔據主導地位。從GPT-3到GPT-4的進化軌跡,似乎都在印證"參數規模決定模型能力"的定律。
而隨着這種"蒸餾+強化學習"的複合訓練方式的出現,小模型的時代似乎終於要來了。
要知道,對於許多企業,尤其是中小型企業和垂直領域專業企業,在追求模型性能時,往往受限於大型模型所需的鉅額計算資源成本。
DeepSeek 證明⼩模型也能發揮⼤作用後,這些企業可以減少在硬件設備(如⾼性能服務器、GPU 等)採購和租賃上的⽀出,以及降低能源消耗成本。
例如,⼀家專注於醫療影像分析的⼩型企業,原本若要使⽤⼤型模型來處理影像數據,可能需要搭建昂貴的計算集羣,現在藉助優化後的⼩模型,可以在普通的計算設備上完成任務,⼤幅降低成本。
在這其中,在⼩模型有效性的趨勢下,擁有⾏業認知的企業通常對⾃身業務流程和數據特點有深刻理解,他們往往能夠更快速地將模型集成到現有業務系統中。
因為⼩模型⼀般具有更簡單的架構和更少的參數,開發⼈員可以更便捷地進⾏定製化開發,以適應特定⾏業的需求。⽐如,⼀家⾦融風控企業,基於⾃⾝對⾦融⾏業⻛險評估的know - how,能夠迅速將適配的⼩模型嵌⼊到其風控系統中,縮短開發週期,更快地實現模型上線和業務優化。
在競爭激烈的市場中,這種優勢,恰恰能使得某些企業在AI領域實現快速超車,成為垂直賽道AI規則的制定者和引領者。
三、效率與場景突破,
端側應用爆發期來了
眾所周知,在實際應用中,尤其是在邊緣計算和即時決策等場景中,傳統 AI 模型往往也面臨着諸多限制。
在邊緣計算場景中,由於設備資源有限,如手機端、眼鏡端等,很難運行大型的 AI 模型,從而限制了 AI 技術在這些領域的應用。
此外,在即時決策場景中,如金融交易和工業生產,傳統 AI 模型的推理速度和準確性往往難以滿足需求。
DeepSeek 的出現給了一個新的思路。其在模型壓縮、推理效率以及訓練成本優化方面的突破,為其在多個場景的落地應用提供了有力支持,帶來了效率和場景上的巨大突破。
DeepSeek 通過模型壓縮技術,使其優化後的模型可以更好地適應資源有限的設備,如智能眼鏡等邊緣計算設備。這使得邊緣計算設備能夠具備更強的 AI 能力,為用户提供更加便捷、智能的體驗。
例如,在智能眼鏡中,DeepSeek 可以實現更快速、更準確的圖像識別和語音交互功能,用户可以通過智能眼鏡更高效地獲取信息、進行導航、識別物體等,大大提升了智能眼鏡的實用性和應用場景。
在即時決策場景方面,其的高效推理能力也發揮了重要作用。
以金融交易為例,金融機構需要在極短的時間內對大量的市場數據進行分析和處理,以做出準確的投資決策。其能夠快速地對數據進行分析和預測,為金融交易提供即時的決策支持,幫助金融機構提高交易效率和盈利能力。
在工業生產中,即時的質量檢測和故障診斷也是至關重要的。還可以快速地對生產過程中的數據進行分析,及時發現質量問題和設備故障,從而提高生產效率和產品質量,降低生產成本。
可以説,在 2025 年,DeepSeek的出現, 或將引起新一輪的終端應用爆發,為各行業的數字化轉型和升級提供有力的技術支撐。DeepSeek 在多個場景中的應用突破,不僅展示了其技術優勢,也為各行業的數字化轉型和升級提供了新的解決方案。
四、生態變革:
大廠煉模型、中小廠做應用
DeepSeek帶來的還有AI生態上的變革,而這種變革也將為AI落地產業的帶來更多可能性。
一個事實是,當前 AI 產業呈現出一種 “金字塔結構”,OpenAI、Google 等巨頭把控基礎模型,中層企業依賴 API 調用,陷入 “數據空心化”,底層中小開發者缺乏定製能力,淪為生態附庸。
這種結構的致命缺陷是創新停滯,巨頭為維持壟斷,必然限制模型開放度。
DeepSeek 開源核心模型和開放 API 定製能力,這一舉措打破了以往 OpenAI 等巨頭主導的 “金字塔式” 生態。

在新的生態模式下,大廠可以專注於煉模型,利用其強大的技術實力和資源優勢,不斷優化和提升模型的性能和能力。
例如,阿里雲、騰訊雲等平台可以成為 “模型超市”,提供數百個垂直領域的小模型,滿足不同行業和用户的需求。這些大廠可以通過不斷研發和創新,推出更加先進的模型架構和算法,推動 AI 技術的發展和進步。
而中小廠則可以專注於做應用,基於開源模型快速開發專用 AI 工具,無需依賴巨頭提供 “黑箱” 能力。這為中小廠提供了更多的發展空間和機會,使它們能夠充分發揮自身的靈活性和創新能力,開發出更加貼近用户需求和行業特點的 AI 應用。
例如,一些中小廠可以針對工業質檢、供應鏈預測等確定性需求,通過 API 按需微調模型,開發出高效、精準的 AI 應用,為用户提供定製化的解決方案。這種生態變革還帶來了技術民主化、生態正循環和場景定製化等多方面的好處。
技術民主化可以使製造業、農業等非科技企業也能夠參與到 AI 技術的應用和創新中,促進各行業的數字化轉型和升級。生態正循環則可以通過開發者貢獻行業數據優化模型,並從模型收益中分成,形成了 “數據 - 模型 - 應用” 的協同網絡,推動 AI 產業的可持續發展。
可以説,DeepSeek 帶來的生態變革,不僅為 AI 產業的發展帶來了新的機遇,也為各行業的數字化轉型和升級提供了新的動力。未來,隨着 DeepSeek 技術的不斷發展和完善,其在生態變革方面的潛力將進一步釋放,為 AI 產業的發展帶來更多的可能性。
五、2025,AI 的新走向
2025年,AI落地產業的走向越發清晰。
在 2025 年,AI 的發展將從過去對技術的單純崇拜,逐步轉向更加註重商業務實的落地應用。這一轉變體現在技術研發、商業化路徑以及生態聯盟構建等多個方面。
在技術研發領域,企業逐漸認識到盲目堆砌模型參數並非明智之舉。千億規模的模型並非萬能鑰匙,而 DeepSeek - R1 的成功案例有力地證明了,百億級模型通過算法優化同樣能夠與更大規模的模型相媲美。

因此,未來的研發投資方向將更多地聚焦於強化學習(RL)和模型蒸餾技術。
與單純擴大數據量相比,RL 的自我進化能力和蒸餾技術的生態價值在商業應用中展現出更大的潛力。通過這些技術,企業能夠在降低成本的同時提升模型性能,並拓展其應用場景,從而走上一條高性價比的AI與業務融合之路。
在商業化路徑的選擇上,B 端市場成為優先佈局的重點。
與各行業的頭部企業,如車企、醫院、銀行等展開合作,共同構建行業專屬模型,並採用按效果付費的模式,這不僅能夠實現企業與客户的深度綁定,還能促進雙方在價值創造上的協同合作。
與此同時,對於中小客户羣體,企業也不應忽視其潛在的市場需求。通過提供開源模型和低代碼平台,為這些客户提供便捷的 “AI 能力集裝箱”,能夠有效降低定製化成本,滿足長尾市場的多樣化需求,進而實現對整個市場的全面覆蓋。
構建生態聯盟對於企業的發展同樣至關重要。
一方面,開源核心框架,例如 DeepSeek 開放 RL 訓練工具鏈,能夠吸引開發者積極參與生態建設,匯聚各方的智慧和資源,形成強大的技術合力。
另一方面,跨界聯盟的建立也必不可少。聯合芯片廠商(如華為)、雲服務商(如阿里雲)以及垂直領域的專業企業,形成 “算力 - 模型 - 場景” 的鐵三角合作模式,能夠促進產業鏈上下游的協同創新,打造一個合作共贏的產業生態環境。
從當前的行業形勢來看,儘管中國 AI 大模型在通用能力上暫時難以全面超越 OpenAI,但通過在垂直場景中的深耕細作以及生態的開放合作,完全有機會實現差異化的突圍。
展望 2025 年,中國 AI 產業的發展目標是打造一批 “小而美” 的行業模型。這些模型在特定領域內形成對西方 “大而全” 模型的局部優勢,通過在特定行業的深入應用和優化,逐步向通用智能領域滲透和拓展。
這一發展路徑不僅能夠充分發揮中國在特定領域的產業優勢,還能夠為全球 AI 產業的發展提供一種具有中國特色的創新模式和解決方案,推動 AI 技術在全球範圍內的多元化發展和應用。
寫在最後:
DeepSeek 的技術革新與生態開放,**使 AI 從 “巨頭的遊戲” 變為 “全民共創”。**隨着數字化與 AI 的相互催化,一個 “技術越普及,數據越豐富,模型越智能” 的飛輪已然形成。
但對於產業AI的落地,還應該更為審慎。儘管DeepSeek的出現打破了固有的算力、模型中的部分環節掣肘,但仍有很多問題尚待解決,比如模型的定向蒸餾,比如數據體系的構建,再比如生態體系中各方利益的交叉配合等等,這早已經不僅是一道技術命題,而更是一個行業向上的產業命題。
不過,能肯定的是,2025 年中國 AI 大模型的產業潮水必然洶湧澎湃,勢不可擋。