新8500噸通用驅逐艦解讀!_風聞
扇歌-军事撰稿人-42分钟前
前言
最近網絡流傳着一篇論文片段,被解讀為東大國新一代8000噸驅逐艦,文中數據總長165米,型寬19.6米,吃水6米,型深14米,標準排水量6800噸,滿載排水量要達到8500噸,甚至達到9000噸,非常驚詫,於是被認為新的“九千歲”,但本身就是一篇論文,沒頭沒有尾,雖然有些數據,但是描述非常不完整,因此也就不能斷定這個新通用驅逐艦,大家就開始各種猜測……

西葛西CG
8500噸通用驅逐艦的必要性
之前文章説過,現在護衞艦朝着大型化發展,典型的“阿基坦”護衞艦已經達到5750噸,採用柴 - 電 - 燃交替(CODLOG)驅動方案,航速27節,雖然武器裝備密度低,但航程更遠,更加適合遠洋作戰。更加極端的是德國F126護衞艦已經達到1.1萬噸。
而東大052D驅逐艦噸位比阿基坦要大些,採用雙燃+雙柴,航速更高,裝備4面相控陣雷達,64套850垂直髮射器,武器密度明顯比“阿基坦”高,但有削弱了遠洋自持力,而作為一級戰鬥艦的驅逐艦,需要在噸位,航速,裝備上超過這類大型遠洋護衞艦,尤其是東大航母編隊航速都達到30節,作為航母編隊中的驅逐艦要求會更高,達到30節僅僅是及格,而達到32節才是比較理想,能夠先於航母到達陣位,才能起到護衞作用,也就是新通用驅逐艦的速度要和055驅逐艦相當才有存在意義!
這點也是與其他中型國家海軍要求完全不同的地方,要求更高,雖然僅僅是3節航速,但主機功率需要增加30%,而到32節航速需要增加60%,看着5節航速,卻是海軍層級的分水嶺!

主機功率:
對於單體型軍艦,更高航速就要更高的主機功率,由於網傳參數和伯克FlightⅠA(DDG-52~71):標準6700噸,滿載8800噸接近,後期改用四具LM-2500-30燃氣渦輪,總功率105000馬力;但伯克有耗油量過大的問題,讓財大氣粗的花旗國海軍也受不了,主要原因:

燃氣輪機低速效率低下
伯克級採用 LM2500 燃氣輪機作為動力系統,其設計特點是在高速航行時效率較高(如 30 節以上),但在低速巡航(如 15 節以下)時燃油經濟性明顯下降。
伯克級驅逐艦的動力系統配置
阿利·伯克級驅逐艦的動力系統主要由四台LM2500燃氣輪機組成,總功率約為10萬馬力(75兆瓦)。這些燃氣輪機通過減速齒輪箱驅動兩根軸,進而驅動直徑為5.2米的可控螺距螺旋槳,使其在全功率下最高航速超過30節。此外支持相控陣雷達巨大耗電量,該級驅逐艦還配備了三台3400馬力(2500千瓦)的501-K34燃氣輪機,用於發電。
在這個航速下主機功率8000馬力就基本滿足需要,但LM2500單機功率就是25000馬力,雖然就能滿足需求,但這樣使用起來特別尷尬,伯克是雙軸+雙螺旋槳推進,但如果用一台主機工作,就已經浪費動力,而且沒有使用交叉傳動,僅用一個螺旋槳工作,而另外一個螺旋槳必然產生阻力,導致偏航,所以就兩台主機同時工作,燃氣輪機在低功率狀態下的熱效率遠低於柴油機,而軍艦在日常任務中約 95% 的時間處於經濟航速行駛,導致整體油耗居高不下,在低速時依賴燃氣輪機推進,浪費大量燃油。
所以美國海軍也在探索混合動力系統以提高燃油效率。例如,DDG 103魯斯頓號驅逐艦進行了混動系統的實驗,該系統通過發電機和電動機的組合運行,在低速航行時切換為電機推進。
計劃為34艘伯克級加裝混合動力系統,但因成本和技術複雜性,最終僅在DDG-103號進行實驗性改裝。傳統燃氣輪機與電動機的整合需重新設計動力艙佈局,而伯克級的緊湊結構限制了升級空間。
船體設計問題
提康德羅加級巡洋9500噸艦僅需8萬馬力即可達到30節航速,而伯克級8600需10.5萬馬力,這個是因為伯克級為安裝4個面巨大的相控陣雷達,不得不增加艦體寬度到20.4米,導致流體阻力更高,推進效率低於同類艦艇。這也説明大型4面相控陣雷達在噸位小的軍艦上,難以發揮效能,甚至還會導致整體效能下降,055噸位大,就沒有這些問題。
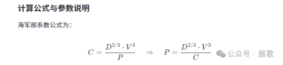
8500噸驅逐艦航速計算公式與參數説明

·D:排水量(噸),取8500噸;
·V:航速(節),分別代入14節、27節、30節、32節;
·C:海軍部係數,取160;
·P:主機功率(馬力)。
計算結果彙總

按照動力系統還要留下10%的餘量,那麼8500噸新驅逐艦需要95000動力才能滿足需求,採用單機功率40800馬力(30兆瓦)燃氣輪機*2+單機功率5400馬力(4兆瓦)柴油機發電機*2,採用燃電並車方式輸出總功率可以達到91600馬力,基本上滿足需求;或者直接採用兩台54000馬力(40兆瓦),也不用並車直接輸出模式,發展潛力更大。
雷達及裝備:
作者認為8500噸驅逐艦,要吸取伯克驅逐艦教訓,不能把軍艦塞的太滿,雷達採用052D面積就能滿足需求,否則很容易出現空間不足問題,而對於850垂直髮射器達到64個基本上就能滿足需求,但要儘量增加9米發射器數量;

西葛西CG
由於8500噸驅逐艦除了遠洋作戰,也要執行瀕海作戰,進行對地攻擊,所以艦首炮可以升級成為最近較為火熱的155艦炮,8500噸空間足以容納;
最近正式公佈的BRE-10型750毫米遠程火箭彈,戰鬥部應該不低於500公斤,射程500公里,經過適當改進(縮減長度,縮放彈翼等)也可以上艦作為對地/對海精確打擊力量.


考慮到無人機增加,最好增加兩套激光防空系統,對付到處亂飛的無人機巡飛彈!
另外艦體尾部最好增加小型塢艙,能夠放收2艘50噸級別的無人潛艇,提高反潛作戰彈性!
結束語:
雖然8500噸的驅逐艦是遠洋護衞艦和“輕型相控陣驅逐艦“的二合一,功能上055這種”重型相控陣驅逐艦“並不重合,而且055也再進化!