數學家們仍在追趕天才拉馬努金_風聞
量子位-量子位官方账号-34分钟前
魚羊 一水 發自 凹非寺
量子位 | 公眾號 QbitAI
如果有這麼一個人,寫下這樣的複雜公式,並聲稱是受女神夢中啓發所得,大家夥兒通常會送他兩個字:民科。

但當這個人一生中數千次寫下類似的數學公式和命題,並在此後的100年間,不斷地被證實正確,那麼就只有一個可能——
他是拉馬努金。

之所以再度火爆,是因為直到今天,數學界還不斷有最新發現,在驗證他當年留下的“謎題”。
拉馬努金,一位全數學界公認的神人,被認為是數學史上最偉大的天才之一:
沒有接受過正統數學教育,在印度掛科到本科學位都沒拿到,卻憑藉自己驚人的數學直覺征服數學大師G.H.哈代,使得劍橋大學三一學院的大門破例向他打開。
32歲就英年早逝,職業搞數學的時間只有短短6年,但他的數學筆記至今仍是傳奇——留下了近4000個公式,很多都在後來被證明正確。
他的恩師哈代甚至開玩笑説,自己對數學最大的貢獻就是發現了拉馬努金:
和拉馬努金的交往是我一生中唯一的浪漫事件。

**△**中間為拉馬努金,最右為G.H.哈代
直到今天,後輩數學家們仍在追趕着拉馬努金的步伐。
就在2024年9月,弗吉尼亞大學的數學家小野肯(Ken Ono)和他的合作者們,還在PNAS(美國國家科學院院刊)上發表了一篇關於羅傑斯-拉馬努金恆等式的應用論文,將其用於檢測質數。

**“夢中女神的啓示”**拉馬努金傳奇故事的構成要素之一,是他獨特的做數學的方式。
簡單來説就是三個字:憑直覺。
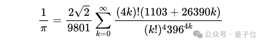
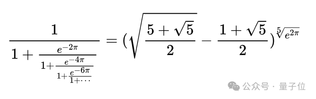
畢竟以常規思維來評判,你很難理解一個20世紀10年代的數學家,是怎麼寫出那麼多看上去只有計算機才能搞定的表達式的。
他寫給哈代的第一封信,就讓哈代驚呼“我從未見過像這樣的東西”,其中的數學結果長這樣:

而拉馬努金自己也常常聲稱,他的直覺和靈感來自於女神託夢(他是一位婆羅門教徒),他在夢中得到靈感,醒來後就在筆記中記下這些表達式。
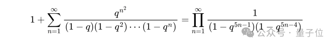
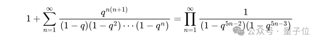
在今天,拉馬努金影響最深遠的研究包括羅傑斯-拉馬努金恆等式。
這是與基本超幾何級數和整數拆分相關的兩個恆等式。
第一個恆等式是:

第二個恆等式是:

後世的數學家們發現羅傑斯-拉馬努金恆等式與其他數學領域,比如統計物理學和表示論,存在深切的關聯。
比如,在20世紀80年代,羅格斯大學數學家James Lepowsky和Robert Wilson利用頂點算子代數理論,為羅傑斯-拉馬努金恆等式提供了一個新的表示論證明。
頂點算子代數理論在弦論的發展過程中發揮了重要作用,也在羣論最大成果之一——怪獸月光理論的證明中發揮了關鍵作用。
拉馬努金猜想,則是數論和模形式研究中的一個重要里程碑。現代數學研究中最大的單項項目朗蘭茲綱領也和拉馬努金猜想有着緊密的聯繫。
拉馬努金猜想通常是指關於模形式的τ函數係數大小的猜想。拉馬努金提出,對於:

其中,對於素數p,τ(p)的絕對值不會超過
。簡單來説,就是這個數列中的數字雖然會變大,但不會變得太快或太大。
這個猜想在1973年由皮埃爾·德利涅(Pierre Deligne)證明。
朗蘭茲綱領的核心是函子性猜想,這一猜想描述了不同代數羣的自守表示之間的深刻聯繫。函子性猜想包含很多著名的猜想,拉馬努金猜想就是其中之一。
自學成才的數學鬼才
總而言之,這位受到女神眷顧的數學家,在今天的數學史上,已經成為一個繞不開的、金光熠熠的名字。
但在他出生的1887年,他的父母可能怎麼也沒想到,他們這個沒落的印度婆羅門家庭裏,會成長出這樣一位傳奇的數學鬼才。
拉馬努金出生於印度泰米爾納德邦埃羅德縣,父親是一位收入微薄的小職員,母親則是家庭主婦。
年幼的拉馬努金很快展現出了自己的天賦,在小學裏取得了優異的學業成績,但直到他進入中學,他才算真正接觸到了正規數學,那一年他10歲。

**△**拉馬努金出生地
在這樣的環境中,實際上,從接觸數學到發展出屬於自己的數學研究,拉馬努金最主要是靠自學。
一開始,他是跟着家裏的兩個大學生租户學習數學知識,但在11歲時,兩位大學生就沒什麼能再教他的了。於是,他們借給了拉馬努金一本高等三角學的書,讓他能夠繼續自學。
13歲時,拉馬努金啃透了這本書,甚至還自己發現了一些複雜的定理。
在以全區最好成績升入當地高中後,憑藉個人直覺和邏輯思維,他獨立推導了《純粹及應用數學的基本成果概要》中的大量數學公式。
具體來説,在仔細研究書中的5000個數學定理後,他發現了伯努利數,並里程碑式地將歐拉-馬斯切羅尼常數計算到了小數點後15位。
至高中畢業時,他被授予了K. Ranganatha Rao數學獎,校長還誇讚他的成績遠在滿分之上。
只可惜,拉馬努金對數學的過度專注讓他在大學時期遭遇了挫折。
這一階段的求學經歷只能用“混亂”來形容,期間經歷了換校、學位考試兩度失敗(數學只答自己感興趣的,其他科目成績不佳),最終肄業,沒有拿到學位證。
大學失敗後,沮喪的他選擇了離家出走,以至於母親還在報上登了一份尋人啓事。

之後他一直陷於生活窘迫之中,不過仍未放棄獨立數學研究。
直到23歲那年,他認識了税務部門公務員V. Ramaswamy Aiyer,後者曾創立印度數學會,不過當時已結束數學會第一任秘書職務。
命運的齒輪就此轉動。
一開始,無業遊民拉馬努金只想進入税務部門工作,於是向Aiyer展示了自己的數學筆記本。
看完筆記後, Aiyer立即深感不能在税務底層部門埋沒拉馬努金的才華,於是寫了一封介紹信將他推薦給了自己的數學家朋友們。
這羣人也非常看好他,層層舉薦後,拉馬努金來到了印度數學會秘書R. Ramachandra Rao面前。
這位秘書對他的研究印象深刻,但鑑於拉馬努金的知識背景,於是懷疑他作者身份的真實性。
經過多方努力,最終拉馬努金拿到了一次面談機會:
在這位秘書面前,他侃侃而談橢圓積分、超幾何級數和發散級數理論……
而這,也最終征服了對方。當得知拉馬努金迫切需要工作和財政支持後,這位秘書把他推薦到了一所大學擔任研究員,併為他的研究提供經濟資助。
後來,拉馬努金的研究成果發表在《印度數學會雜誌》上。
這中間還發生了一件有意思的事:
當時他將一個無限嵌套根式的方程,以謎題的形式投稿給期刊,想看看能收到哪些回答。

結果等了3個月,沒有任何人理他。
無奈之下,拉馬努金只能自己上場,咔咔一頓操作後,最終在第一本筆記的第105頁上,寫下了解決無限嵌套根式方程的解決方案。(自己挖坑自己填第一人)

總之在這一時期,拉馬努金一邊工作,一邊業餘搞數學研究,生活還算相對平穩。
再到後來,為了將一些工作成果更廣泛地傳播,拉馬努金開始給幾位英國數學家寫信:
我是一名職員…… 我並未受過大學教育…… 但我正在為自己開闢一條新道路……
信中還有幾頁數學推演,其中一些內容之前有人推導過,還有一些不完全正確。
最先接到信的是HF Baker和EW Hobson這兩位教授,在沒有發表任何評論的情況下,他們直接退回了信件。
不過這沒有讓拉馬努金退縮,他繼續將信投給了那個“命中註定般的人”——數學家哈代。
雖然哈代初看這份手稿也以為是欺詐,但最後3個陌生公式吸引了他的注意力:
我以前從未見過這些東西,它們完全打敗了我。它們一定是真的,因為如果它們不是真的,就沒有人有想象力來發明它們。

**△**圖源:Quanta Magazine
震驚過後,哈代起了惜才之心,於是邀請拉馬努金前往劍橋大學一同研究。(提供劍橋獎學金)
於是從1914年開始,兩人和哈代的另一同事李特爾伍德開始了長達5年的合作研究。
僅就拉馬努金和哈代來説,二人的合作並不容易:哈代追求嚴謹的證明,而拉馬努金更相信直覺。
不過期間二人還是發生了不少有趣的小故事:
一次,拉馬努金生病住院了。哈代為了幫他解悶,告訴他出租車的編號是1729,“一個看起來沒什麼意思的數字”。
這可激起了拉馬努金的反駁,“不,這是個非常有趣的數字。”
他進一步解釋,“在所有能用兩種方式寫成兩個自然數立方和的數字中,它是最小的那個。”
1729=1^3+12^3=9^3+10^3
這個故事後來被用來定義“的士數”。(不是太懂這些數學家的樂趣doge)

後來,拉馬努金因在高度複合數方面的工作拿到了研究型文學學士學位(博士學位的前身),並當選倫敦數學會會員。
31歲那年,他更是憑藉“對橢圓函數及對數論的貢獻”當選史上最年輕的英國皇家學會會員,還是該機構認可的第二位印度人。
不過令人意外的是,剛剛取得巨大成就的拉馬努金,卻很快走向了故事終局。
在因身體不適返回印度後。1920年,拉馬努金32歲英年早逝。
當時人們認為可能的死亡原因是結核病,直到1994年,後來有醫生對拉馬努金的醫療記錄和症狀進行了分析,得出的新結論是肝阿米巴病。
理由是拉馬努金離開印度前曾患過兩次痢疾,而阿米巴痢疾可能會潛伏數年,並導致肝阿米巴病。
後來的醫生表示,如果當時能得到正確診療,這種病通常可以被治癒。
這也讓後人一直感到無比遺憾:

而為了紀念他,人們也專門設立了**“拉馬努金獎”**,每年由位於他的故鄉貢伯戈訥姆的Shanmugha文理工研究院(SASTRA)所頒發,獎金為10000美元。
獲獎者需滿足兩個條件:
在拉馬努金研究領域做出傑出貢獻的數學家
獲獎時年齡需在32歲以下(正好是拉馬努金去世時候的年紀)
該獎自2005年頒發以來,至今已有22位獲得者,包括陶哲軒、詹姆斯·梅納德等多位菲爾茲獎得主,以及張偉、惲之瑋、劉一峯等等出身於北大數院的數學家們。

**△**圖源:Wikipedia數學家們仍在追趕拉馬努金
從1914年到1920年,實際上,拉馬努金作為職業數學家僅工作了6年的時間,但就像前文提到過的,他的成果至今影響着數學界的後輩們。
1976年,人們還在劍橋大學三一學院的圖書館中找到了拉馬努金生命最後一年的“筆記本”。
這個“筆記本”由138頁散亂的紙張組成,上面記錄了600多個數學公式,但沒有證明的過程。其中包括拉馬努金對模擬θ函數的研究——這個函數對計算黑洞的熵很有用。

包含這本“遺失的筆記本”在內,拉馬努金留下的手稿筆記中,總共3900餘個公式和定理。
儘管拉馬努金本人並沒有在筆記中留下明確的思路,但後輩數學家們依然認為,“他為重要理論的開端奠定了基礎”。
直到今天,數學家們仍在循着拉馬努金的遺產,追趕着這位傳奇人物的腳步。
巴黎西岱大學的數學家侯賽因·莫爾塔達(Hussein Mourtada)就是其中之一。
他從博士起就在研究奇點理論。他發現,能證明奇點深層基礎結構的方法,就來自於拉馬努金在一個世紀以前寫下的數學陳述。
簡單來説,莫爾塔達在研究名為“胖點”的簡單奇點的弧空間時,發現弧空間的結構可以用羅傑斯-拉馬努金恆等式來描述。

在此基礎之上,他還和他的學生Pooneh Afsharijoo一起,探索了許多更復雜的奇點及其弧空間。Afsharijoo現在在馬德里康普頓斯大學擔任博士後研究員,他還發現了新的條件,擴大了拉馬努金原始恆等式的範圍。
拉馬努金故事片《知者無涯》(The Man Who Knew Infinity)的副製片和顧問、弗吉尼亞大學數學家小野肯,更是認為自己的職業生涯一定程度上得益於拉馬努金的洞察。
2014年,小野和Michael J. Griffin、S. Ole Warnaar聯合發表論文,為羅傑斯-拉馬努金恆等式及其算術性質提供了一個框架,解決了一個源自拉馬努金工作的長期謎團。
2024年9月,他和William Craig和Jan-Willem van Ittterum一起,採用整數拆分方法來檢測素數——同樣是基於拉馬努金的工作。論文已發表在PNAS上。
OMT:更多相關資料
除了上面這些,如果你對拉馬努金感興趣,還有以下資料可作補充:

從相關傳記來看,英國電影《The Man Who Knew Infinity》(2015)專門講述了拉馬努金和哈代教授之間的友誼,以及他在學術領域的生涯。
另外,他也出現在了兩位印度數學家Narendra Kumar Govil和Bhu Dev Sharma的回憶錄中。

而對於那些難纏的數學公式,油管也有一系列詳細推演。

最後,還有網站收錄了拉馬努金所有已發表和未發表的論文。

感興趣就學起來吧!今日份勸學KPI達成(doge)~
油管教學視頻:https://www.youtube.com/watch?v=jcKRGpMiVTw
全部論文收錄:http://ramanujan.sirinudi.org/
參考鏈接:
[1]https://x.com/AdrianDittmann/status/1848917275447071132
[2]https://www.quantamagazine.org/srinivasa-ramanujan-was-a-genius-math-is-still-catching-up-20241021/
[3]https://en.m.wikipedia.org/wiki/Srinivasa_Ramanujan
[4]https://news.ycombinator.com/item?id=41909564