“男女都偏好年輕伴侶?”起底中國婚戀市場的需求摺疊現象_風聞
文化纵横-《文化纵横》杂志官方账号-1小时前
周揚 | 中央財經大學
於嘉 | 北京大學
謝宇 | 普林斯頓大學
【導讀】在當前中國社會,“剩男”“剩女”與婚戀焦慮成為普遍的社會現象。本文認為,這種婚戀焦慮的出現在一定程度上是人們“理想婚姻不可得”情況下意願與行為的背離。本文基於大規模“選擇實驗法”展開調查,對6000多位受訪者的擇偶偏好進行了系統分析,力圖揭示這一社會現象背後的多維機制。
研究表明,兩性的擇偶標準呈現出顯著差異。男性更重視外貌特徵,並表現出為“高顏值”支付顯著溢價的傾向;女性則普遍將教育程度、收入水平與住房狀況等社會經濟指標視為關鍵考慮因素。在高學歷羣體中,這一趨勢尤為明顯,部分高學歷女性對配偶學歷的重視程度甚至達到“門檻效應”的水平。
此外,研究還發現,無論男性和女性,在配偶其他特徵一樣的情況下,均偏好相對年輕的伴侶。雖然社會輿論常渲染女性傾向於選擇年長的男性,女性年齡向上婚也呈現上升趨勢,但這一趨勢背後反映的是年長男性佔優勢的社會經濟地位特徵。而低階層男性對低階層女性的偏好顯然不是出於對整個家庭經濟收益的考量,而是更可能出於傳統的性別觀念的驅動。高學歷、城市户籍的男性更傾向於選擇與自身背景相近的女性,從而形成“教育同質配偶”趨勢。
研究表明,人們在擇偶時普遍更看重對方的社會經濟地位,而外貌作為一種稀缺資源,致使外貌與社會經濟地位之間的交換婚姻變成可能。這意味着,婚姻正成為社會階層地位的象徵。本文為理解中國社會的婚戀行為模式提供了參考,也為政策制定者在回應婚姻結構變化、推動社會流動性等方面提供了新的視角。
本文原載《社會學研究》2023年第6期,原題為《擇偶偏好中的性別差異和社會階層異質性——基於選擇實驗法的探索》,僅代表作者觀點,供讀者參考。
**▍**問題的提出擇偶偏好是男女選擇婚戀對象時的理想標準或要求,既影響人們的具體婚配行為,也反映了社會經濟、制度與文化變遷。擇偶偏好並不完全取決於個人心理上的喜好與意志,還受到來自家庭制度、社會制度、文化價值和風俗習慣等各種結構性因素的塑造。研究擇偶偏好的基本特徵、性別差異及社會階層異質性,一方面有助於深入理解當前社會中的婚姻匹配模式和家庭變遷的形成機制,進而探討婚姻和家庭過程對社會階層再生產的影響,理解婚姻本身所具有的社會階層地位屬性;另一方面,相比於研究實際婚配模式,擇偶偏好研究可以更為敏感地捕捉到社會文化和價值觀念上的重要變遷。
研究當前中國社會中擇偶偏好的基本模式,對於認識中國正在經歷的第二次人口轉變與婚姻家庭轉型具有重要意義。作為主觀態度中的意願類概念,擇偶偏好直接影響着婚姻形成。當前中國出現的婚姻焦慮等現象在一定程度上是人們在“理想婚姻不可得”的情況下意願與行為的背離。當人們的擇偶偏好無法滿足時,初婚年齡的推遲和不婚率的增加往往會加劇,進而造成生育率的下降。不合適的婚配模式則可能增加婚姻解體的風險,使得離婚率升高,對子女成長造成負面影響。因此,研究人們擇偶偏好的基本特徵可以為理解當下人們的婚育實踐和婚育決策提供來自觀念層面的社會事實,對於理解當前中國社會面臨的婚姻去制度化、低生育率陷阱和高離婚風險等現象均具有現實必要性。
關於擇偶偏好的理論模型包括進化心理學理論、擇偶交換理論、同型匹配偏好理論、擇偶梯度偏好理論,等等。進化心理學理論和擇偶交換理論從不同角度分析男女兩性擇偶偏好上的系統性差異,而同型匹配偏好和擇偶梯度偏好理論則探討了擇偶偏好與社會階層之間的關係。與豐富的理論模型相比,檢驗擇偶偏好理論的實證研究並不多見,這主要是由於擇偶偏好不易測量、難於解讀。
以往研究對於擇偶偏好的測量和解讀主要包括兩種方式。一種是列舉若干維度上(生理屬性、社會屬性、心理和品格屬性等)的指標,請受訪者對各種擇偶標準進行排序,或選擇其中最看重的幾項標準。但擇偶偏好是一個組合型標準,人們會對各個維度上的偏好綜合評估擇偶給人們帶來的總效用。對擇偶偏好的列舉式測量難以反映不同維度的擇偶標準的相對效用或個體不同的特徵屬性在擇偶上的相對重要性。另一種方式是通過截面數據所觀察到的實際婚配分佈情況來間接推斷擇偶觀念及其變遷。既有研究發現,近年來同質婚在不同國家和社會中呈現上升趨勢,並據此推斷人們擇偶過程中同類匹配偏好上升。然而,這類研究的侷限性在於,實際觀測到的婚配模式只能針對已婚羣體進行分析,無法反映社會整體的擇偶偏好。更重要的是,實際擇偶行為未必等同於人們真實的擇偶偏好,因為實際的婚戀行為與婚姻建立還將受到由個人稟賦、婚姻市場和政策制度等結構性因素帶來的一系列主客觀條件的約束。換言之,擇偶行為是一項深受機會結構限制的個體選擇,並不等同於主觀層面上的擇偶偏好。因此,對一個社會中擇偶偏好實際狀況的考察,需要建立在對擇偶偏好的直接且有效測量的基礎之上。
本研究以已有文獻的理論模型為指導,探究當前中國社會中擇偶偏好的基本模式,特別是性別差異與社會階層異質性在其中的作用。基於既有實證研究發現及其侷限性,本研究創新性地採用陳述性偏好策略(stated preferences)中的選擇實驗法(choice experiment)改進擇偶偏好的測量方式並收集數據,用以考察當前中國民眾擇偶偏好的基本特徵,探索不同維度擇偶特徵的相對效用,彌補現有研究的空白。
▍文獻綜述與研究假設(一)“擇偶行為”與“擇偶偏好”
對於社會來説,擇偶是一種重要的生理、心理和社會文化現象;對於個體來説,擇偶是在生命歷程中基於資源約束與結構限制的一項重要選擇與決策。當我們把擇偶作為一項個體選擇行為模型進行研究時,有必要區分擇偶行為與擇偶偏好之間的關係,這對我們更深刻地理解擇偶偏好如何影響婚配結構、婚姻動態和社會分層具有重要的社會學意義。
為釐清擇偶偏好與行為,我們首先從一般性的“偏好”(preference)和“選擇”(choice)概念入手。偏好是微觀經濟學中的基礎概念,是指個體對商品或商品組合的喜好程度,是個體進行經濟行為決策的關鍵。主觀偏好是不能直接觀察的,因此具有不可檢測性。“效用”(utility)則是用於描述偏好的數學工具。個體作為行為決策者,其目標是獲得效用最大化,即將備選項集合中的每一備選項對於個體的效用大小進行比較,得到對各備選項的偏好排序。因此,在理想狀態下,個體行為選擇本身可以直接反映個體的主觀偏好,並能由此計算其獲得的效用。
但是,從一般性的“偏好”概念回到本研究的“擇偶偏好”概念時可以發現,對個體來説,擇偶這一行為決策在很大程度上難以直接反映擇偶偏好。因為擇偶過程不同於選擇商品的經濟行為,是一個雙向選擇的社會行為,擇偶雙方存在社會關係與社會互動。因此,擇偶選擇不僅受到個體主觀偏好的影響,還受制於來自潛在擇偶對象等因素所構成的機會結構的影響。社會學領域中“偏好(preference)+機會(opportunity)→選擇(choice)”分析框架(POC框架)系統地詮釋了行為和偏好之間的區別和聯繫。在POC框架下,個體的擇偶行為是同時取決於主觀擇偶偏好和客觀機會結構兩個方面的選擇,只有當沒有機會結構的客觀限制時,擇偶行為才等於擇偶偏好本身,此時的擇偶行為被稱為無約束選擇,完全是由對備選項的偏好排序決定的,反映的是顯示性擇偶偏好(revealed preference)。而受到機會結構因素的影響做出的擇偶決策則被稱為約束性選擇。現實生活中所有的擇偶行為幾乎都是約束性選擇。
由於機會結構的存在,擇偶行為並不能直接反映個體的擇偶偏好。因此,直接基於當前客觀的婚姻匹配模式來研究人們主觀的擇偶偏好模式具有較大侷限性。研究擇偶偏好需從擇偶偏好本身出發,下文將基於現有理論模型來探討影響人們擇偶偏好的基本維度。
(二)擇偶偏好的基本維度
社會學、心理學等相關實證研究考察了人們所期待的長期伴侶需要具備的特徵。關於擇偶偏好和擇偶標準的現有文獻主要基於被調查者對特定特徵的評估,每個特徵都被作為單個項目進行評價。在這種設計下,學者通過對這些被列舉的特定特徵進行因子分析或主成分分析來實現降維,從而獲得最具影響或最典型的若干擇偶維度。儘管不同的研究發現存在一定差異,仍然可以基於現有研究總結出一些具有共同特性且反覆出現的關於擇偶偏好的核心維度性標準。
具體來説,人們在擇偶過程中面臨的總體情境條件是資源稀缺性。在面對資源約束與結構限制的條件下,人們的擇偶偏好可以分為對配偶有形資源和無形資源兩個方面的要求和期望。有形資源指的是社會屬性特徵,即配偶所擁有的社會經濟地位特徵,其中包括先賦性和自致性兩類社會經濟地位特徵。先賦性社會經濟地位特徵主要是指個體因其家庭背景而擁有的來自父輩的社會經濟資源,主要包括父母的教育、收入、財富以及本人的種族、户籍等等;而自致性社會經濟特徵主要是指個體自身在教育、收入、財富、權力等方面所擁有的社會經濟資源。有關婚姻匹配的現代化理論強調,隨着社會的發展,傳統家庭和家族對個人擇偶的控制力降低,先賦性特徵對擇偶的影響變小,而自致性特徵的影響則逐漸變大。以往基於中國背景的實證研究同樣顯示,隨着年代的推移,年輕人和教育水平較高者更加看重配偶所擁有的教育、收入等自致性社會經濟特徵,而不再特別看重配偶父母的社會經濟地位等先賦性特徵。
無形資源則是指個體生理與個性心理屬性特徵,即配偶所擁有的生物學、人口學特徵和性格、價值觀等非物質性特徵。其中,生物學和人口學特徵主要包括外貌、年齡、身高、體重、膚色、髮色,等等。對中國民眾擇偶偏好的探索發現,男性會比女性更加看重配偶的外貌。需要指出的是,在社會學分析視角下,配偶的生理屬性可能混合着其他未觀測因素,特別是在一定程度上與社會經濟地位和階層屬性相關,例如膚色在一定程度上反映了種族特徵,又如年齡在一定程度上可能意味着經濟資源的積累程度。而個性心理屬性特徵主要包括性格特點、宗教信仰、價值觀、審美情趣等精神類特徵。例如,社會心理學領域的相關實證研究發現,有某種宗教信仰的人大多也期望其配偶有同樣的宗教信仰。
從社會學分析視角來看,相對於社會經濟屬性、生物和人口學特徵而言,個性心理屬性屬於更具主觀性的無形資源,存在較大的個體異質性,對個性心理屬性的偏好也因人而異。因此,本研究主要聚焦於考察並比較那些更具客觀性的擇偶維度對個體擇偶的相對重要性。具體而言,本研究關注的個體自致性特徵包括教育程度、收入和房產。理論上,職業也屬於個體在擇偶時所看重的特徵,職業背後所反映的社會階層含義在學界通常由社會經濟地位指數(Socioeconomic Index,SEI)來表示。但考慮到職業分類十分龐雜,且職業SEI是由每一種職業從業者的教育和收入兩個變量的平均水平構造而得,而教育和收入維度已容納了職業背後所反映的社會屬性特徵,故本研究並未將職業因素納入考慮。由於城鄉分割是造成我國社會分層與不平等的重要制度性因素,因此在先賦性社會經濟地位方面,本研究主要關注父母的户口狀況。在無形資源方面,本研究選取了年齡與外貌這兩個擇偶過程中必然要考慮的基本因素。綜上所述,本研究首先關注上述選取的各擇偶維度上的屬性特徵對個體的相對效用,並藉助收入維度估計出不同屬性的“貨幣性”支付意願。
(三)擇偶偏好的性別差異
既有研究指出,就對潛在配偶所擁有的有形資源和無形資源的期望而言,男性和女性在婚戀過程中的擇偶偏好存在系統性差異。學界發展出兩種不同的理論解釋:來自進化心理學的解釋與來自社會學、經濟學的替代性解釋。
基於進化論視角,進化心理學提出,個體的擇偶偏好是進化的結果,是人類的祖先在適應環境過程中形成、以基因形式傳遞給後人的一種“定式”,因此,不同社會文化條件中的人們在擇偶觀和擇偶行為上具有一致性。在人類發展過程中,男性和女性為了獲取資源、通過求偶和生育讓基因遺傳下去,會面臨不同的“適應性”困境,從而形成了不同的擇偶偏好和行為模式。在原始社會,由於女性在生育和哺乳後代的過程中獲取食物和保護子女的能力會下降,需要配偶提供資源上的支持和保障,因此,女性更加重視男性的“資源獲取能力”,這種偏好也遺傳至今。男性作為資源的持有方,為了讓自己的基因更好地延續下去,會更重視女性的“生育潛力”,而這種潛力在很大程度上與年齡和外貌相關。巴斯對來自六大洲中33個國家的10047人的樣本進行了調查分析,結果基本支持了這一理論。
進化心理學對男女兩性擇偶偏好模式的解釋具有跨文化和跨區域一致性,將擇偶模式視為進化的結果,突出了擇偶作為生物學現象的本質。這一理論成立的隱含前提有二:一是人們擇偶是以基因遺傳為目標,並以生育為其實現方式;二是男性和女性因生物性差別而形成的差異化擇偶偏好與策略在人類進化過程中會穩定地延續下去,即使個體行動者可能並沒有充分意識到自己在執行這一策略。然而,隨着人類社會的發展,擇偶從生物性行為逐漸轉化為社會文化現象,擇偶的動機不再僅是滿足繁衍的需求,人們選擇對象並建立婚姻會受到社會、經濟、文化和制度等多方面因素的影響。因此,學者們基於社會學、經濟學視角提出了擇偶交換理論、婚姻市場理論和性別角色理論,用以解釋擇偶偏好中的性別差異。
擇偶交換理論強調擇偶本身是一項社會交換行為。根據這一理論,在擇偶過程中,男性與女性都非常謹慎,基於自願、互惠、平等原則進行交換,當雙方都對自身收益滿意時,才能形成並維繫親密關係。婚姻市場理論進一步將擇偶和婚姻作為一種經濟上的交換行為——“市場交易”來進行研究,強調婚姻市場中的男性和女性為了實現整體效用最大化,都會根據自身的比較優勢進行交換。在傳統社會中,男性的比較優勢往往體現在經濟收入上,女性的比較優勢則體現在外貌、生育和持家能力上,因此形成了擇偶偏好的性別差異。
隨着現代社會中女性地位的提高、男性與女性在勞動力市場上的差距逐漸縮小。根據婚姻市場理論,這將使得男性和女性的偏好逐漸趨同,然而近期關於擇偶偏好的研究則並沒有觀察到這一模式。由此,學者們從性別角色的角度對擇偶偏好性別差異的持續性進行了解釋。根據性別角色理論,人們擇偶偏好的形成與社會期望以及性別觀念緊密相關。學者們指出,長期以來,社會中的權力和資源均由男性控制,女性被排除在外,男女兩性在社會階層地位上持續存在的差異不斷塑造並強化人們的性別角色期望,而這種認知很難被改變。在當今社會中,雖然女性在教育、職業、收入等方面與男性的差距不斷縮小甚至超過男性,但人們對婚姻中男性與女性的性別角色期望卻變化不大,傳統的“男主外女主內”模式依然被很多人認為是理想的性別分工模式。在這樣的性別分工觀念影響下,男性依然會非常看重女性的長相與持家能力;女性則仍然期望男性是家庭的經濟支柱,即便是本身已具備經濟獨立能力的女性,也偏好尋找經濟條件更好的男性。
近年來,中國女性的教育水平持續提高。根據教育部的數據統計,中國各類型高等教育在校生中女性比例自2016年以來便一直高於男性。此外,中國女性在勞動力市場上也有較好的表現,不僅維持着相對較高的勞動力參與率,而且大量女性進入了傳統上由男性主導的職業與行業,與男性在就業上的差距不斷縮小。然而,我國婚姻中依然存在較強的性別分工,女性依然承擔了大部分的家務與照料工作。此外,人們對傳統的性別分工模式仍具有較強的認同,且這一認同感在近期有所上升,在女性羣體中尤其明顯。因此,結合進化生物學、擇偶交換理論和性別角色理論,本文認為在當前中國社會中依然存在擇偶偏好上的性別差異,由此提出假設1。
假設1(性別差異假設):男性和女性的擇偶偏好存在系統性差異。相對而言,男性比女性更看重配偶在生理屬性上的無形資源,如長相和年齡;而女性比男性更看重配偶在社會經濟地位屬性上的有形資源。
(四)擇偶偏好的階層異質性
隨着經濟發展和社會變遷,我國婚姻家庭領域經歷了一個從“普遍結婚”到“選擇結婚”的變化,即個體能否建立婚姻關係逐漸以其社會經濟地位為基礎或條件。由此,婚姻匹配成為影響社會分層與階層再生產的重要過程和機制。因此,有必要研究男女兩性擇偶偏好與其所處社會階層的系統性關係,即個體的社會經濟地位如何調節男女兩性的擇偶偏好。這對我們全面理解擇偶偏好模式、理解婚姻和家庭過程如何影響社會分層與流動具有重要的啓示。
有關擇偶偏好與社會階層的關係的討論主要包括“同類匹配”和“擇偶梯度”兩種擇偶偏好理論。同類匹配偏好是指人們在擇偶時偏好與自己社會經濟地位相似的羣體,包含兩種具體機制:適配性機制(affinity)和競爭性機制(competition)。適配性機制強調相似的人之間具有吸引力和親和性,例如擁有相似教育程度的人通常會擁有相似的價值觀、品味和知識結構,而人們傾向於選擇與自我評價結果更為一致的人作為配偶,因此會形成社會階層上的同類匹配偏好。競爭性機制則強調指出,婚姻市場中的理性行動者選擇結婚對象時偏好那些能夠與自己在資源上進行成功交換並實現效益最大化的擇偶對象,經過婚姻市場的篩選、競爭和匹配過程,公平交易通常發生在資源擁有情況相近的同類羣體中。有學者指出,同質吸引是人們擇偶時遵循的基本規律,但具體是什麼維度或指標上的“相似”,不同的研究可能存在一定的爭議,如中國傳統社會中強調的“門當户對”是對相似的家庭背景的偏好;而現代社會更加強調雙方在教育及收入水平上的相似。也有學者指出,同類匹配偏好的含義是個體追求擇偶對象在“整體”意義上與自己相似,即在通盤考慮對方各項特徵後基於對方的總體吸引力得分而進行擇偶選擇,藉以有機整合擇偶交換理論和同類匹配偏好理論。但總體來説,“同類”最重要的表現形式即社會階層地位上的相似性,實證研究則多聚焦於某一具體維度上的同類匹配偏好,如人們在教育匹配上的偏好。
擇偶梯度偏好理論則結合性別角色理論強調指出,在個體層面,階層不同的男女兩性在擇偶偏好上存在系統性錯位,從而整體呈現梯度性分佈的特徵。擇偶梯度偏好的形成與傳統的性別分工模式以及性別觀念息息相關。傳統社會中普遍存在的對男女社會性別特徵的建構,即“男強女弱”“男高女低”“男主外女主內”的性別分工觀念持續影響着擇偶觀念上的階層異質性,導致男性傾向於選擇社會經濟地位低於自身的女性,而女性傾向於選擇社會地位高於自身的男性,從而形成婚姻匹配中佔據較大比重的女性向上婚。擇偶梯度偏好在當今社會中也發揮着一定的作用。有研究指出,當前中國社會中觀察到的“剩男”和“剩女”規模擴大和婚姻擠壓現象源於低階層男性和高階層女性在梯度偏好下無從選擇配偶。但在現實生活中,這種梯度偏好主要系統性地體現在女性羣體的擇偶過程中,對於男性羣體的影響則較為複雜。既有研究指出,當女性更有經濟能力時,她們對高收入男性的偏好甚至比經濟上不太成功的女性更強烈,向上擇偶偏好在滿足性別觀念期待的同時,也正好符合女性自身的社會經濟利益。而在男性羣體中,教育程度較高、社會階層較高的男性的性別觀念通常較為現代和平等,基於婚姻現代化理論和婚姻尋找理論,現代社會中的高競爭性使這些男性在擇偶和婚姻形成中也越來越看重女性的經濟潛力。與之相對,性別觀念較為傳統的男性則仍然期望通過向下擇偶來展示男性氣質和男性主導地位,而這部分男性大多也恰恰是社會階層較低的羣體。
綜合上述討論,本文提出,對於男性來説,高階層男性出於同類匹配偏好和應對現代社會競爭壓力的考慮,在擇偶時更傾向於選擇高階層女性;而低階層男性由於其性別觀念更加傳統,出於同類匹配偏好和傳統性別觀念的影響,在擇偶時更偏好低階層女性。對於女性來説,高階層女性受同類匹配偏好和向上擇偶梯度偏好影響,只對高階層男性有強烈偏好;而低階層女性在傳統婚配觀的影響下同樣偏好高階層男性,可能期待藉助向上婚姻實現社會流動。圖1展示的是我國社會中男女兩性在擇偶偏好上可能存在的階層異質性的理論分析框架。

根據上述有關性別間擇偶偏好的階層異質性的分析,本文提出假設2。
假設2(階層異質性假設):男性羣體的擇偶偏好存在顯著的階層異質性,女性羣體擇偶偏好上的階層差異不顯著。具體來説,與低階層男性相比,高階層男性對女方的社會經濟地位更為看重;而高階層女性與低階層女性對男方階層地位的偏好沒有顯著差別,均傾向於擁有較高社會經濟地位的男性。
▍研究設計(一)調查方法
本研究採用陳述性偏好調查實驗法來收集當前中國民眾擇偶偏好數據。相較於行為調查中的顯示性偏好,陳述性偏好調查是通過構造假定的情景讓受訪者做出評估與選擇,從而直接瞭解人們的主觀偏好,是一種意願調查。陳述性偏好調查的優勢在於可以幫助我們獲得“並不存在”或“並未發生”某種行為時人們的偏好數據,是對個體偏好的直接測量,同時可以利用統計模型來系統性估計不同屬性因素為個體偏好帶來的相對效用,被大量應用在市場營銷、環境保護、健康經濟學等領域的研究中,用於探索消費者對不同產品的偏好、對環保資源的支付意願等問題。
陳述性偏好調查的基本步驟分三步:(1)基於研究目的來確定備選項所包含的屬性。通常來講,屬性數量要求在三個以上。(2)確定衡量每個屬性的具體水平。通常來講,一個屬性需要設置兩個及以上的水平值。(3)進行情景組合設計。情景組合設計是指將各屬性及其水平按照一定方式進行有機組合,形成可供受訪者選擇的備選項及備選項集合。
不同的情景組合設計決定了陳述性偏好調查的具體技術。本研究選擇的技術是選擇實驗法。由於選擇實驗法中各個備選項的組合配置的生成過程與分配過程是隨機的,利用這一隨機性,可以識別出不同維度上的屬性特徵如何相互作用並最終影響受訪者的決策,也即識別出特定屬性的干預效應(component-specific treatment effect)。
本研究創新性地將陳述性偏好調查中的選擇實驗法引入對擇偶偏好的研究中,具有兩方面技術優勢:(1)這一方法可以幫助我們瞭解當前中國民眾整體的擇偶偏好情況,不再限於通過研究對象的婚姻狀態來間接推斷擇偶偏好。(2)由於受訪者需要對不同備選項做出評價和選擇,會對備選項的不同維度特徵進行整體上的權衡,由此可以估計出每個擇偶維度的相對效用,並在不同羣體間直接進行比較,這在以往的因子分析等方法中是無法實現的。
(二)實驗設計、數據與變量
在擇偶偏好的選擇實驗設計中,基於前文理論分析和實證研究的討論,本文確定了用以考察擇偶偏好在不同維度上的屬性特徵:教育程度、收入、房產、先賦性家庭背景(父母的户口狀態)、年齡和長相。需要指出的是,理論上我們可以選擇更多的屬性來測量擇偶偏好,但考慮到提供的屬性過多會導致備選項所含的信息超過受訪者的判斷能力或忍受程度,使其難以作答,影響數據的準確性,因此本研究的實驗設計聚焦於以上屬性。這六個維度不僅可以很好地服務於我們的研究目的,同時也不會過度影響實驗數據的信度和效度。
實驗具體步驟如下:第一步,對於每位受訪者,我們隨機生成三份個人情況介紹,形成“虛擬人物”甲、乙、丙三人在婚姻市場中的簡歷。每份個人簡歷是虛擬人物在前述六個維度上的屬性特徵的隨機組合。具體來講,年齡和收入採用連續變量進行衡量。年齡是基於受訪者性別和年齡隨機生成的數值。對於男性受訪者來説,擇偶對象年齡屬性的取值範圍為[-15,5];對於女性受訪者來説,擇偶對象年齡屬性的取值範圍為[-5,15]。收入是一個相對度量值,是基於受訪者本人收入的0.5、0.6、0.7、0.8、0.9、1、1.5、2、3倍的隨機倍數。此變量在模型中有兩種使用方式,一是直接將此倍數值作為相對收入,二是結合受訪者年收入計算出虛擬人物的絕對收入(單位:10萬元)。轉換為絕對收入的好處是可以基於此變量計算其他非貨幣屬性擇偶維度的支付意願。後文僅展示收入維度是絕對收入的模型結果。教育程度是分為高中、本科、研究生的三分類變量。名下是否有房產為二分變量。先賦性家庭背景是基於父母是否是城市户口的二分變量。長相是分為“有點醜”“一般”“比較漂亮/帥”的三分類變量。
第二步,同時展示三份虛擬人物的簡歷(如圖2所示),要求各個受訪者對三個虛擬人物作為結婚對象的“理想”程度分別進行評估打分(1~7分)。受訪者同時包含了已婚羣體和未婚羣體。由於受訪者在選擇實驗中的擇偶行為選擇是針對隨機生成的虛擬人物進行的,從而放鬆了現實世界中人們擇偶時在機會結構上受到的約束,此時,受訪者在實驗中的擇偶選擇可以直接用於測量擇偶偏好。

我們利用“生育與養育意願與行為調查”項目開展了基於擇偶偏好的選擇實驗。這一項目由北京大學社會研究中心於2020年實施,採用配額抽樣和線上調查的方式,用以收集18~50歲婚育實踐主體羣體的擇偶偏好數據。具體的配額方案為:在男女樣本平衡的基礎上,基於2015年全國1%人口抽樣調查中實際的年齡(18~35歲和36~50歲兩組)×教育(初中及以下、高中、大學及以上三組)的聯合分佈情況,設計交叉配額抽樣(2×2×3,比例浮動區間為±2.5%)。這一配額方案屬於相對複雜的交叉配額抽樣,考慮了性別、年齡、教育在總人口中的聯合分佈情況,在一定程度上彌補了網絡樣本可能存在的特徵偏差,也使我們的調查樣本更加符合總體特徵、更為均衡。調查執行過程中使用了多項技術,如智能驗證、注意力測試、基於邏輯一致性和合理性設置多處監測點等若干項硬控制與軟控制手段,從而保證了數據收集質量。經過數據清理,樣本總數為來自6185位受訪者的共計18555次選擇。
本研究所用因變量為受訪者在三份虛擬簡歷中做出的選擇,其中評分最高者記為1,其餘記為0。本研究所用自變量包含兩個層次:(1)基於受訪者的個人特徵變量。本研究首先借助個體的性別特徵來考察擇偶偏好的性別差異假設,進而分別藉助兩項衡量個體社會經濟地位的典型特徵(作為先賦性特徵的城鄉户口身份和作為自致性特徵的是否接受過高等教育)將男性和女性羣體分別二分,藉此檢驗擇偶偏好的階層異質性假設。因此,個體特徵變量包括性別(男性=1)、城鄉户口身份(城市=1)、教育(高中及以下和高中以上,二分變量)。其中,受訪者羣體中男性所佔比例為50.12%,農村户口者佔比為49.18%,教育為高中及以下者佔比為49.22%。(2)基於不同擇偶偏好維度上的屬性特徵變量,用以識別出特定屬性對人們選擇結婚對象時的干預效應。六個維度變量操作化的具體過程參見實驗設計部分的介紹,此處不再贅述。
(三)估計策略
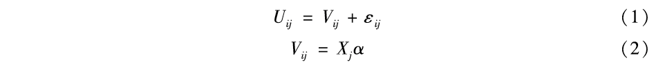
本研究採用離散選擇模型中的條件Logit模型進行估計。條件Logit模型的特點是可以估計出備選項所擁有不同屬性帶來的邊際效用,有助於評估不同擇偶維度對人們是否做出擇偶決策的相對作用,同時還可以進一步藉助交互分析來考察異質性。離散選擇模型的提出來源於隨機效用理論(random utility theory)。隨機效用理論認為個體的決策過程具有不確定性。在本研究使用的條件Logit模型中,個體i從有限的備選項集合J(所有隨機生成的虛擬人物)中選擇備選項j(甲乙丙之一)作為理想配偶所獲得的效用為Uij。擇偶效用Uij包括固定效應Vij和隨機項εij兩部分,如公式(1)所示。固定效應Vij可由選擇實驗中生成的虛擬人物的自帶屬性變量Xj=(X1,X2,…,X6)j估計獲得(公式2),(X1,X2,…,X6)分別對應年齡、收入、家庭背景、名下是否有房產、教育程度和長相的六項擇偶維度,α為六項擇偶維度變量Xj的係數向量(α1,α2,…,α6)T,即本研究關注的各擇偶維度的邊際效用。

而隨機部分εij代表未被觀測的效用及誤差的影響,反映了決策過程中的不確定性。個體最終會選擇對其總效用最大的那個虛擬人物作為理想配偶。因此,每個虛擬人物被選中的概率可以表示為其固定效應的函數,即個體i總是會選擇對其總效用U最大時的備選項j*。此時,從有限的備選項集合J中選擇備選項j*的概率為:

假定效用Uij的殘差項εij滿足獨立同分布並服從極值I型概率分佈,則(εij*-εij)將服從Logit分佈,由此整理公式(3)可得:

最後,藉助收入(X2)這一可用貨幣單位衡量的維度特徵,可以進一步計算出個體對其他擇偶維度特徵的支付意願(willingness to pay,WTP)(公式5),從而對擇偶偏好中非市場性屬性進行“定價”,以比較不同維度的相對重要性,與現實世界中真實的擇偶過程相連結。

▍數據結果(一)擇偶偏好的性別差異
表1展示的是基於條件Logit模型估計的不同擇偶維度的具體效應及性別差異:模型1為全樣本結果,模型2為全樣本與本人性別交互的模型結果,模型3和模型4分別為男性樣本和女性樣本的擇偶偏好情況。
比較模型1和模型2的結果可以發現,首先,虛擬人物的收入、家庭背景、房產、教育作為社會經濟屬性,顯著地影響着配偶的被選擇概率,但本人的性別特徵會顯著影響其在這些社會經濟維度上的擇偶偏好,女性比男性更加顯著地偏好選擇在收入、家庭背景、房產和教育特徵上佔優的結婚對象。第二,長相作為配偶的無形資源,在全部樣本中呈現顯著正向影響。與女性相比,男性在擇偶中傾向於認為對象擁有良好的長相會帶來更大的效用。本文的假設1得到了支持。第三,模型結果顯示人們對理想配偶的年齡存在顯著的負向偏好,即偏好年輕的對象,這似乎與既有實證研究顯示的女性年齡向上婚在近年來呈現上升趨勢相矛盾。然而需要指出的是,關於女性年齡向上婚的研究發現是實際觀察到的年齡婚配結果,並非直接反映了女性對配偶的年齡偏好。女性年齡向上婚的原因在於男性的年齡與社會經濟地位通常存在正相關性,男性的年齡更大通常反映的是經濟實力優勢。因此,配偶雙方的年齡關係實際上可能是地位關係,女性年齡向上婚實際上藴含着社會經濟地位向上婚。在本研究的實驗設計中,虛擬人物在六項擇偶維度上的特徵是隨機設定的。因此,對象年齡和收入、教育等其他社會經濟特徵間是獨立關係。通過模型結果可以發現,當年齡不再與社會經濟地位緊密正向關聯的時候,女性在擇偶時並未表現出願意接受比自己年齡明顯更大的配偶,這也符合人們擇偶偏好的生物性本質,因為年輕在一定程度上意味着更健康的身體和更大的性吸引力。
模型3和模型4是不同擇偶維度對於男女兩性擇偶效用的分樣本估計,可以更為直觀地對比不同性別間的擇偶偏好差異。與女性相比,男性對於其配偶父母是否在城市這一先賦性家庭背景特徵並不十分看重。此外,與本科學歷的女性對象相比,男方並不偏好擁有研究生學歷的女性,而女性則對研究生學歷的男性的偏好最強。圖3更直觀地展示了基於模型3和模型4得到的六項擇偶維度對男性和女性的相對效用。綜合上述模型結果,總的來講,人們的擇偶偏好表現出顯著的性別差異,男性對六個維度中的長相更為看重,女性則更看重社會經濟地位。


表2展示的是以虛擬人物年收入絕對數為基準進行標準化而計算的其他非貨幣屬性擇偶維度的支付意願,單位為萬元。具體來講,男性對於比本人年長一歲的配偶年齡的支付意願是-1.635萬元,女性則是-1萬元。換言之,男女兩性均認為結婚對象比自己年長會給自己帶來負效用,需要結婚對象相應地在收入上進行彌補。相比父母户口在農村,配偶的父母户口在城市對女性來説相當於配偶年收入增加7.26萬元,但對男性來説,配偶的父母户口在城市或農村的影響並不顯著。配偶若擁有房產,對男女兩性均具有較高的正向效用,相當於配偶年收入增加16萬左右。對於男性來説,配偶的本科學歷相當於女性年收入增加10.24萬元,但男性對女方研究生學歷的意願支付價格與高中學歷沒有顯著區別。對於女性羣體來説,研究發現當配偶的教育水平提高時,支付意願也隨之遞增,配偶擁有本科和研究生學歷分別相當於其年收入增加8.52萬和10.36萬。對於長相條件,一方面,男女兩性均表現出較高的支付意願,但男性對外貌的支付意願大大高於女性;另一方面,當從“一般長相”下降到“有點醜”時,男性和女性均表現出了極高的負向支付意願,而從“一般長相”上升到“比較漂亮/帥”時,意願支付價格的變化幅度則相對較小,這表明較差的外貌給人們帶來的負面效用顯著高於較好的外貌帶來的正面效用。

(二)擇偶偏好的階層異質性
接下來分別考察男性和女性羣體內部在擇偶偏好上是否存在顯著的階層差異,藉此討論擇偶偏好與社會階層的關係。具體方法是在模型3和模型4中將虛擬人物的六項擇偶維度分別與本人的城鄉户口屬性和是否接受過高等教育兩項特徵進行交互分析,考察本人先賦性背景(户口)和自致性教育這兩項特徵與虛擬對象的先賦性背景(户口)和自致性教育這兩項相對應的擇偶維度特徵的交互項是否顯著。
首先是分男性和女性樣本考察擇偶偏好上的城鄉異質性,結果見圖4。對男性而言,對象的家庭背景特徵與本人户口的交互項是顯著的,表明與農村男性相比,城市男性會顯著地對配偶先賦性户口特徵有所要求,更加偏好與父母户口在城市的女性結婚。而對於女性羣體來説,對象的家庭背景特徵與本人户口的交互項並不顯著。這表明,無論是城市女性或農村女性,對配偶先賦性家庭背景的偏好均無顯著性差異,結合主效應的正向顯著性可知,城市女性和農村女性均偏好那些父母户口在城市的對象。值得一提的是,對於城市男性來説,除了看重女方父母户口在城市外,也顯著地重視女方擁有房產這項條件(對象有房產與本人户口的交互項顯著為正)。而在當今房價高企的現實背景下,房產的獲得通常需要父輩的支持,因此,這一顯著的交互效應也在一定程度上表明,相較於農村男性,城市男性會對女方先賦性家庭背景條件有更高的要求。

我們接下來考察對配偶教育特徵的偏好是否會分別在教育程度不同的男性羣體和女性羣體中存在顯著性差異。結果如圖5所示。在男性羣體中,相較於高中及以下學歷者,接受過高等教育的男性會顯著地期望女方也接受過高等教育。除此之外,接受過高等教育的男性對於女方的家庭背景、房產等其他社會經濟特徵的偏好也顯著更高。這表明,與未受高等教育的男性相比,接受過高等教育的男性會顯著地提高自身的擇偶標準。接受過高等教育的女性比未受高等教育的女性更加偏好接受過高等教育的男性,這一結果意味着女性羣體內部在擇偶偏好上也存在教育階層異質性。接受過高等教育的男性和女性均偏好接受過高等教育的配偶這一結果突出了人們在擇偶時對教育特徵的同類匹配偏好。
總結男女兩性擇偶偏好的階層異質性分析結果可以發現,城鄉户口狀態和教育程度對擇偶偏好存在不同的調節作用。首先,數據結果證實了城鄉男性之間、不同教育程度的男性之間在擇偶偏好時均存在顯著性差異。這一結果突出了高階層男性(城市男性、高教育男性)對高階層女性的偏好,在一定程度上挑戰了擇偶梯度偏好理論。在高度競爭的現代社會中,高階層男性主觀上同樣偏好尋找高階層女性來增加自身的收益。第二,數據結果表明城鄉女性的擇偶偏好趨同,均偏好來自城市的男方,符合我們的預期。但低教育程度女性沒有像高教育程度女性那樣一致表現出對高教育程度男性的偏好,這可能是由於教育程度背後不僅是經濟收入上的差異,更藴含着文化觀念、價值品味、生活方式等方面的差異。是否接受過高等教育是明顯的區隔,低教育程度女性可能考慮到婚姻生活相處的和諧性及婚姻穩定性問題,並沒有在教育維度上表現出明顯的向上擇偶偏好。

(三)穩健性分析
本研究基於因變量、自變量、迴歸模型和數據進行了多項各類穩健性檢驗。各類穩健性分析的數據結果和結論與本文主要結果基本一致,在此不再一一展示,僅簡要説明如下。
針對因變量,我們對本研究進行了兩套穩健性檢驗。一是在將1~7分變量轉化為二分變量時,只有當受訪者對甲乙丙中的最高評分大於等於5分時才被記為1,其餘記為0,再利用此因變量重新進行條件Logit模型估計。二是將1~7分變量作為連續變量,利用多元線性迴歸進行分析,並在模型中計算聚類穩健標準誤,以處理受訪者個體內部擾動項的相關性。兩種檢驗的結果穩健。
針對自變量,首先,對於絕對收入的測量採用了四種檢驗(95分位數以上替換為95分位數值、99分位數以上為缺失值、99分位數以上替換為99分位數值、受訪者年收入在50萬以上為缺失值);其次,我們以相對收入作為擇偶偏好維度進行了模型檢驗,具體方法是將選擇實驗中設置的隨機倍數直接作為收入維度變量進行迴歸。無論採用哪種針對收入維度的測量,本文的主要結論均不變。
此外,前文中有關支付意願的計算是基於偏好空間(preference space)進行的,相關文獻指出,基於偏好空間計算的支付意願值可能會產生極不合理的分佈,針對這一問題,可轉化為基於支付意願空間進行估計。我們據此進行了穩健性分析,重新計算了其他五項非貨幣屬性擇偶維度的意願支付價格,結果幾無差異。
最後,考慮到本研究所用數據為線上調查實驗獲取的非概率樣本,為驗證研究結論的外在效度,我們利用2021年中國社會綜合調查(CGSS2021)中相同實驗設計所獲得的數據進行穩健性分析,雖然在顯著性水平和具體效應值上存在細微差異,但並不影響主要研究結論的基本一致性。
**▍**總結與討論探討擇偶偏好的基本模式對解釋當前中國社會中的婚姻匹配模式具有重要意義,有助於從主觀偏好的視角理解我國正在經歷的婚姻家庭變遷和社會文化變遷,進一步探討婚姻對社會分層與流動的影響機制。然而,一直以來,由於數據收集和概念測量上的困難,國內學界較為缺少對我國民眾擇偶偏好的系統性實證研究。本研究創新性地採用陳述性偏好調查中的選擇實驗法測量人們在教育、收入、房產、家庭背景、年齡和長相六項維度上的擇偶偏好,系統性估計不同擇偶維度的相對效用和具體支付意願,深入探討了當前我國民眾在擇偶偏好上存在的性別差異及社會階層異質性,彌補了既有研究的空白。
當前中國社會中,配偶在年齡、收入、家庭背景、房產、教育和長相六項維度上的特徵均會對人們的擇偶偏好產生顯著影響,但不同維度特徵的重要性程度存在顯著差異。整體上看,人們普遍會選擇擁有較高社會經濟地位屬性的人作為理想配偶。但配偶年齡增加帶來的負效用表明,無論男性還是女性,在配偶其他特徵一樣的情況下,還是更加偏好相對年輕的伴侶,不過相對於其他擇偶維度而言,年齡維度的效用較低。外貌特徵在擇偶時屬於稀缺產品,從偏好和效用的角度來説,人們在擇偶時願意支付較高的價格,這意味着,在結構性條件允許的情況下,外貌與社會經濟地位之間的交換婚姻是極有可能發生的。
從本研究所發現的擇偶偏好的性別差異來看,相對而言,男性比女性更加看重配偶的長相,而女性比男性更加看重對方的收入、家庭背景、房產和教育等社會經濟地位特徵。這種性別差異模式符合進化心理學所看重的男女兩性在擇偶時的生物學本能,更重要的是反映了兩性擇偶偏好的社會經濟建構。擇偶偏好可以生動地捕捉社會文化觀念變遷,特別是性別角色觀念的變遷。總體而言,在當今中國社會,男女差異性的擇偶偏好表明人們對傳統的性別分工模式仍然存在一定的認同。由此可見,雖然社會變遷帶來了多樣化的婚育實踐,婚姻的性別化差異期待仍然是深刻而長遠的。值得注意的是,本研究關於女性擇偶中年齡偏好的結果挑戰了社會的刻板印象,揭示出意願與行為間的背離,這也表明基於實際婚配行為推測擇偶偏好可能存在偏誤。雖然社會輿論常渲染女性傾向於選擇年長的男性,女性年齡向上婚也呈現上升趨勢,但這一趨勢背後反映的是年長男性佔優勢的社會經濟地位特徵。本文考察年齡維度的真實擇偶偏好發現,當年齡不再與社會經濟地位掛鈎時,女性並沒有表現出對較大年齡配偶的偏好。此外,相較於收入、教育、房產等其他維度而言,配偶年齡對女性擇偶偏好的影響效應最小。
本研究進一步發現社會階層對擇偶偏好存在調節作用,且這種調節作用在男性和女性中並不相同。對於男性來説,無論是先賦性户口特徵還是自致性教育特徵,社會階層較高的男性(城市户籍、接受過高等教育)對擇偶對象的要求均會相應提高。相較於農村男性,城市男性顯著地偏好城市户籍的女性,特別看重女性的先賦性家庭背景;接受過高等教育的男性也會更期望配偶接受過高等教育。這表明男性內部的擇偶偏好呈現強烈的社會階層分化,各階層男性均呈現同質匹配偏好,高階層男性偏好以高階層女性為擇偶對象,而低階層男性偏好以低階層女性為擇偶對象。既有國外研究存在類似發現,即男性的社會經濟地位會與其在擇偶中對配偶良好的經濟前景的重視存在正相關,符合婚姻尋找理論所預期的男性擇偶策略,也部分挑戰了擇偶梯度偏好理論。但低階層男性對低階層女性的偏好顯然不是出於對整個家庭經濟收益的考量,而更可能是為傳統的性別觀念所驅動。
女性羣體的擇偶偏好與其所處社會階層的關係較為複雜。一方面,以城鄉户口這一先賦性特徵來區分階層地位時,城鄉女性在各個維度上的擇偶偏好無顯著差異。農村女性和城市女性的擇偶偏好趨同意味着只有社會經濟地位較高的男性在婚姻市場中才具有競爭力,農村中的“剩男”問題可能仍然會較為嚴峻。另一方面,以高等教育這一自致性特徵來區分階層地位時,不同教育程度的女性在年齡、收入、家庭背景等維度上的偏好並無顯著差異,但在對配偶教育的偏好上表現出了分化。接受過高等教育的女性會相應提高對配偶的教育特徵的要求,但未接受過高等教育的女性並沒有在教育維度上呈現明顯的向上擇偶偏好。造成這一差異的原因可能在於教育並不僅僅代表社會經濟地位,還意味着文化資本。在控制了收入等直接衡量經濟條件的因素後,女性更多考慮的是能否與對方在文化、生活方式與品味等方面保持一致,以維持和諧穩定的婚姻,這便造成了不同教育程度的女性在教育維度上的差異性偏好。總的來講,擇偶偏好上的階層異質性意味着未來同型婚配在高社會階層男女兩性羣體中會進一步擴大,佔據主流;而社會階層較低的女性可能需要在對高階層男性的偏好與實際面臨的結構性約束間做出權衡;此外,部分底層男性的自身條件令其在女性擇偶中處於劣勢,不婚率可能會進一步提高。由此可見,婚姻本身將越來越具有一種社會階層地位屬性。
由於本研究的實證分析基於線上調查實驗所收集的非概率樣本,有必要討論研究結論在外推總體時可能存在的問題。線上調查實驗的技術優勢在於高效、經濟、自動、即時、允許複雜實驗設計以及降低社會期望效應,等等。本研究的選擇實驗在虛擬情景生成與分配的隨機性方面均通過了統計檢驗,保證了研究結論的內在效度。但是線上配額樣本可能會在一定程度上影響研究結論的外在效度。不過,一方面,我們使用了複雜的交叉配額抽樣設計來讓調查樣本更符合總體特徵,儘可能彌補了網絡樣本可能存在的特徵偏差;另一方面,考慮到本研究結論與既有的理論和經驗證據較為一致,穩健性分析也取得了良好結果,我們認為本研究的研究結論具有實證價值,也從方法層面為後續研究提供了選擇實驗法的應用前景,期待後續研究利用概率樣本對本研究結論進行系統性檢驗。
當然,本研究也存在一系列不足。首先,本研究考察的六項擇偶維度是研究者基於理論分析和現實背景而做出的選擇,有進一步推進空間。第二,本研究的選擇實驗設計可能存在框架效應(framing effect)導致的測量問題,由此造成高估長相維度在擇偶偏好中的效用,期待後續研究進一步完善實驗設計。第三,本研究藉助城鄉階層和教育階層來對擇偶偏好與社會階層間的關係進行分析和推論,是考慮到户口狀態和是否接受高等教育具有明顯的階層屬性,是人們在擇偶時關注的基本條件,也帶來了實證分析時的便利性,後續研究可以進一步驗證基於收入、財富等其他社會階層屬性在擇偶偏好上的異質性。希望這項研究可以拋磚引玉,引起更多社會學和人口學學者關注擇偶偏好這一議題,進一步完善擇偶偏好的選擇實驗設計與數據收集,從而在當前我國劇烈的婚姻家庭變遷背景下實現對未來擇偶偏好變化的實證研究。此外,在數據條件允許的情況下,未來研究可以考慮將個體的擇偶偏好與實際婚配行為進行比較,進一步分析婚姻形成的條件與機制。本研究為考察中國社會中擇偶偏好模式及其與社會分層的關係提供了理論分析和實證檢驗兩方面的有益探索,期待學界可以進一步利用選擇實驗法等創新測量方法,關注擇偶偏好變遷及其在中國情境中的檢驗。