你看這個股價像不像隨機運動的布朗分子?_風聞
中科院物理所-中科院物理所官方账号-49分钟前
最近小編摸魚刷到了下面的圖:

(一定要看到最後下面一欄呀!)
最吸引目光的莫過於最後的股市預測了,於是小編就開始幻想自己如果解決了這個問題,那豈不就名利雙收了哈哈哈哈。

隨便搜一下網絡上的股市圖片思索了一會,雖然小編不是金融專業的,但是小編學過物理呀!你就説吧,這圖怎麼就那麼像布朗分子在做隨機運動……

股價走勢圖

布朗運動走勢圖,是不是很像!
仔細一調研發現,原來歷史上經濟學家們真的用過物理中的布朗運動來模擬過股市變化,那就隨着小編一起來看看這究竟是怎麼做到的。
物理中布朗運動是什麼
布朗運動通常是指懸浮在液體或氣體中的微粒所做的永不停息的無規則運動。最早是1827年由英國植物學家布朗發現的,但是具體的運動的成因直到1905年才被愛因斯坦詳細解釋。
做布朗運動的微粒直徑一般為10-5~10-3釐米,這些小的微粒處於液體或氣體中時,由於分子的熱運動,微粒受到來自各個方向分子的碰撞,當受到不平衡的衝撞時而運動,由於這種不平衡的衝撞,微粒的運動不斷地改變方向而使微粒出現不規則的運動。

模擬的大顆粒塵埃粒子碰撞到更小的粒子,而其以不同的速度在不同方向移動的布朗運動 | 來源:維基百科
如果假設一個布朗運動中我們用變量z表示位置,那麼其滿足以下的特徵:

其中 表示一個小的時間長度, 表示 內的 變化量, 表示標準正態分佈中的一個隨機值。而且布朗運動中兩個不同時間間隔內的z的變化量都是不互相影響的。在任意長度的時間間隔 中,遵循標準布朗運動的變量的變化值服從均值為 ,標準差 的正態分佈。對於相互獨立的正態分佈,方差具有可加性,而標準差不具有可加性。
布朗運動體現出了隨機遊走的數學思想,對研究不可預測的連續時間過程機制至關重要。於是乎,大膽的經濟學家們開始了自己的探索。
最賺錢的公式
現如今許多金融模型背後的想法可以追溯到1900年的路易·巴舍利耶,是他最早產生用布朗運動的隨機過程來模擬股市變化的想法(很難不猜測他是不是上過物理系的課)

年輕的路易·巴舍利耶
在每一個瞬間,股票價格都會變化,或者增加或者減少,巴舍利耶假定這些事件有固定的概率。這就像一個人站在街道上,通過反覆擲硬幣來決定自己是否向前移動一小步或向後,他向前向後反覆無常,而他的位置對應股票價格,隨機上漲或下跌。布朗運動的最重要的統計特徵是它的均值和標準差。均值是短期的平均價格,通常在一個特定的方向漂移,上升或下降取決於股市。標準差可以認為是價格偏離均值的平均量,它有標準的統計公式來計算。對於股票價格,這被稱為波動,它衡量價格波動的穩定性。在時間價格圖上,波動對應鋸齒狀的曲折走勢。
後來,布萊克和斯科爾斯真正實現巴舍利耶的想法。通過在一定的價格隨機過程中利用股票和股票期權的適當組合來對沖風險,從而構建偏微分方程,表達了就其它變量變化時價格的變化率。

默頓(左)和斯科爾斯(右)1997年獲得諾貝爾經濟學獎,可惜布萊克因為早逝而錯失獎項
為了能方便計算,模型有着下列7個重要假設:股票價格行為服從對數正態分佈模式;
在期權有效期內,無風險利率和金融資產收益變量是恆定的;
市場無摩擦,即不存在税收和交易成本,所有證券完全可分割;
金融資產在期權有效期內無紅利及其它所得(該假設後被放棄);
該期權是歐式期權,即在期權到期前不可實施。
市場不存在無風險套利機會;
交易是連續不間斷的;
投資者能夠以無風險利率借貸。
好傢伙,這個模型是真不簡單。

這樣,模擬證券價格 S 遵循幾何布朗運動,微分上有:

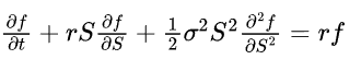
其中 μ 表示資產預期收益率,σ 表示證券價格波動標準差,並設置為常數。這樣最終構建出了布萊克-舒爾斯偏微分方程(Black-Scholes Equation):

這一方程將四個可觀測變量納入統一框架:時間,安全期貨資產的價格,無風險利率以及波動率。其中前三者可直接從市場直接測量,而波動率作為衡量資產價格不確定性的關鍵參數,需通過歷史數據推算或隱含波動率反推獲得。
B-S方程讓經濟學家發現只需要輸入當前股價 S、行權價格 X,行權日距現在的時間(按年計算)T,無風險收益率 r,以及標的股票的年收益率的標準差 σ 這五個參數可以得到歐式看漲/看跌期權封閉解,為現代衍生品市場奠定了定價基準。
當然對於金融機構來説,這個公式更重要的一點是,它能賺錢啊~

B-S公式能非常準確的預測商品的實際價格,與現實數據驚人的吻合,在這樣強大工具加持下,新型資本管理公司逐漸展露鋒芒,與以謹慎評估風險為投資模式的傳統銀行形成對比。
成功的利用BS公式賺錢的就例如,1996年LTCM公司就曾根據模型預測意大利、丹麥、希臘的政府債券價格被市場低估,而德國債券價格被高估,隨着歐元的啓動,這些國家的債券息差會逐步縮小。所以LTCM公司可以通過大量買入低價意大利、丹麥、希臘債券,賣空德國債券來攫取鉅額收益,當然這是建立在模型預測與市場表現一致的情況下。
這些公司的成功經歷鼓勵金融部門發展一系列針對不同的金融工具的相關方程,利用這些方程可以評估貸款和交易,預測潛在的麻煩。
好吧也是最賠錢的公式
但是任何現實的數學模型依賴於簡化和假設,我們很多時候只能用模型逼近現實,無法完全模擬現實,B-S方程也一樣。還記得我們最初推導時的假設嗎,B-S方程需要交易是連續不斷進行的,這樣可以保持風險的動態平衡。但是實際交易市場不可能一直保持連續,市場跳變也是存在的。另外由於跳變,股票價格行為也會偏離最初假設的對數正態分佈模式。
以上的情況可以通俗表現為股市的巨大波動,這種極端事件現在通常會稱為黑天鵝事件。忽視黑天鵝事件的這個行為被深深隱藏在了B-S方程之中。在統計學上這種現象稱為厚尾效應,這是由於很多數學模型的參數往往來源於歷史的交易數據,但是歷史數據的統計往往會忽視掉一些概率很小的事件,但是這些小概率事件會對系統產生致命危險,這部分風險會被在數據統計中被隱藏。

而另一個方面則是更難管控與預測的因素——人性。源於對數學模型的盲目自信與多次投資的成功,這些投資公司更願意嘗試去利用模型追求常人難以發現的套利機會,並在發現這些機會後加大投資,加高槓杆,但是極大的成本與利潤同時意味着了極高的信用風險和流動風險,這些風險會就是一顆顆定時炸彈,總有一天被黑天鵝事件點燃。
歷史結果也告訴我們B-S公式也會因此是最賠錢的公式。1998年8月,隨着俄羅斯宣佈債務違約,全球投資陷入巨大危機,其中當然也包括了前面我們提到的LTCM公司。僅僅一個月後,LTCM公司就不得不將90%的股權售給15家國際性金融機構,在隨後兩年慢慢走向了覆滅。我上我真不行吧
看了這些,小編默默放棄了自己嘗試預測股市的想法。
但是最後的最後,小編還是想提醒大家,投資是如此難以預測的事情,沒有必贏的人,也沒有必定賺錢的投資。
1720年英國南海泡沫中,牛頓最初投資7000英鎊獲利翻倍,但後期追漲加倉導致虧損最終血虧2萬英鎊。即使是像牛頓這樣聰明的人,也在曾在投資界損失慘重。

也難怪牛頓感嘆:“我能計算天體運行的軌跡,卻無法預測人性的瘋狂。”
參考文獻
[1] 量子學派. 公式之美——人類最美的23個公式[M]. 北京. 北京大學出版社, 2020: 212-222[2] Ian Stewart, The mathematical equation that caused the banks to crash,
[3] Black, Fischer, and Myron Scholes. (1973). “The Pricing of Options and Corporate Liabilities.” Journal of Political Economy, 81(3), 637-654.