量子位:17歲少女推翻40年前數學猜想 即將攻讀博士學位_風聞
熊猫儿-1小时前
17歲少女只是做了一份家庭作業,40年前數學猜想便被推翻。
Mizohata-Takeuchi猜想,誕生於上世紀80年代,是連接調和分析、偏微分方程和幾何分析的核心橋樑。
它提出只要每條直線方向的權重積累都不太大,傅里葉傳播也不會非常集中。一直以來人們都認為這一猜想是正確的,它也被視為通向解決傅里葉限制猜想的希望之一。
如果它被推翻,幾十年來關於傅里葉限制、PDE良性等核心問題的思考,也要重新更改思路。比如Stein猜想也將不成立。
才17歲的漢娜·凱羅,在今年扔下了這枚“重磅炸彈”。
原本她只是完成導師安排的家庭作業,論證Mizohata-Takeuchi猜想的更簡單形式。沒想到,她卻找到了Mizohata-Takeuchi猜想的反例。
這結果有多不可思議呢?她也是花了很長一段時間,才成功説服導師張瑞祥,自己提出的反例是對的。
張瑞祥,本科畢業於北大數院,博士畢業於普林斯頓。現在是UC伯克利數學系助理教授,是現代調和分析、偏微分方程、組合幾何領域的重要學者。2023年獲得有“菲爾茲風向標”之稱的SASTRA拉馬努金獎。
值得一提的是,今年2月陶哲軒還預告了這一重磅成果。
找到反例推翻猜想
首先簡單瞭解下傅里葉分析,它是一種重要的數學工具,核心思想是把複雜的函數分解成一組正弦波或餘弦波組合。
它能把看起來複雜的對象(如信號、圖像、函數)變成頻率的疊加,常用領域包括信號處理、音頻分析、金融等。

Mizohata–Takeuchi猜想正是出現在傅里葉分析和偏微分方程(PDE)領域,最初源自對某類一階擾動的薛定諤方程的良定性(well-posedness)問題的研究,後來成為傅里葉限制性理論中的一個重要問題。
它源於上世紀70-80年代對偏微分方程解的良定性問題的研究,特別是對一階擾動的薛定諤方程的行為分析。
在這一過程中,人們發現某些傅里葉變化相關的加權L2不等式與解的存在性和唯一性密切相關。
更通俗一點類比,假設你在一個房間裏説話,聲音從嘴巴里發出,向各個方向傳播。現在數學家們關心一個問題:
如果你在某些方向上掛了吸音板(相當於給這些方向加上了一個“權重”),那你能不能通過“這些方向上的吸音效果”,來估計你説話的總音量?

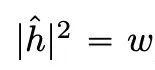
這個“總音量”用傅里葉延拓算子(extension operator)表示,“方向上的吸引效果”是X-ray transform,也就是沿每條直線把權重w(x)加起來。
如果你知道w(x)沿所有直線方向的積分都不大,那麼這個傅里葉擴展Ef(x)在整個空間的加權L2也不會太大。
具體形式如下:
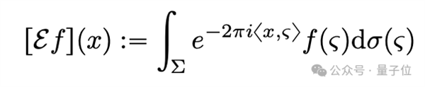
對於任意C2的曲面

,設擴展算子為:
猜想認為存在如下加權不等式成立:
其中E(f)是f的傅里葉延拓算子,Xw是w的X-Ray transform。
漢娜正是對此提出了一個反例——
對於任意不在某個平面上的C2曲面Σ,可以構造:
一個

,非負權重函數

,
使得:
這表明對於某些特定的f和w,積分的下界比猜想中的上界多了一個log R的因子,這意味着Mizohata–Takeuchi猜想整體不成立。
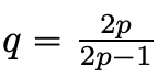
具體來看,作者首先證明了關於正測度的X-Ray transform變換的Lp估計,對於滿足

的函數h,證明了:

其中p∈[1,∞]且

。
利用projection-slice定理,將X-Ray transform與傅里葉變換聯繫起來;通過Minkowski不等式和Hausdorff-Young不等式,推導出上述估計。當p=∞時,證明了估計的最優性。
然後構建反例。作者通過選擇超曲面Σ上的一組R-1點

,其中N~log R,並構造一個特殊的格點集Q,使得這些點的平移和組合能夠產生足夠多的重疊,從而導致積分下界顯著增加。然後作者又構建了一個幾何引理,證明存在一組點

,使得這組點的投影在任何方向上都不會有過多重疊。這個引理確保了反例構造的有效性。
此外,論文還提出了一種局部版本Mizohata–Takeuchi猜想。
即引入Rε的微弱損失是否仍可能使不等式成立。
17歲數學少女,即將開始讀博
最後,來看一下帶來如此突破的17歲女孩漢娜·凱羅。
她出生在巴哈馬羣島,“打記事起就對數學很感興趣”。
她正式開始深入高等數學領域,是搬到美國後。還是高中生的她參加了UC伯克利的數學夏令營。在此期間,她給教授們寫信表示自己讀過哪些領域的書,可不可以上他們的課。
許多人都答應了,其中就包括張瑞祥。
她能推翻這一猜想,也是源於張瑞祥的一次家庭作業——給幾個猜想讓她選一個開始論證,但沒想到漢娜直接“陷”了進去,她唯一能想到的就是一種新方法,並且逐漸意識到只要自己正確應用這些信息,她便能反駁這一猜想。
最終結果我們已經看到了,她真的成功了。
如今,這位天才少女已經在國際學術會議上登台演講,她表示自己不緊張,而且樂在其中。
畢竟她日常也經常給別人講解問題,包括比自己大的學生。
此外值得一提的是,漢娜的導師張瑞祥,也有着相似的傳奇經歷。
他中學時期就讀於人大附中,2006年至2008年,連續三次入選中國數學奧林匹克國家集訓隊。
2008年,他代表中國參加第49屆國際數學奧林匹克競賽(IMO),並榮獲金牌。
那一年,他的隊友、同桌是韋東奕。

△前排右一:張瑞祥,後排右二:韋東奕
同年,張瑞祥考入北京大學數學院。
本科期間,在大神無數的北大數院張瑞祥也是妥妥的“拿獎王”,不僅獲得北京大學五四獎章、國家獎學金、廖凱原獎學金、三好學生等多項榮譽。
同時斬獲第三屆全國大學生數學競賽(數學類)全國一等獎,第二屆丘成桐大學生團體金獎,以及個人代數銀獎、幾何銀獎、分析銀獎,個人全能金獎等。
2017年,張瑞祥獲得普林斯頓大學博士學位。
畢業後,他先後在普林斯頓高等研究院(IAS)和威斯康星大學麥迪遜分校開展博士後研究。2021年,他正式加入加州大學伯克利分校數學系,成為助理教授。
張瑞祥的主要研究領域是調和分析,尤其在以下兩個方向作出貢獻:
-卡爾森關於薛定諤方程解的逐點收斂問題;
-索格波動方程局部平滑猜想的二維情況。
2019年,他與合作者在《數學年鑑》發表論文,提出了一種全新技術,針對性地從多個維度解決了卡爾森提出的問題。
2023年,張瑞祥榮獲SASTRA拉馬努金獎——該獎被稱為“菲爾茲獎的風向標”,授予全球32歲以下在數論或相關領域做出傑出貢獻的年輕數學家。
接下來,漢娜將赴馬里蘭大學攻讀博士學位(還希望組建自己的團隊),張瑞祥將繼續擔任她的導師。








