全球人工智能治理評估指數2025發佈,我國居40國首位
guancha
7月24日,《全球人工智能治理評估指數2025》中英文版正式發佈,該報告由中國科學院自動化研究所人工智能倫理與治理研究中心、北京前瞻人工智能安全與治理研究院(Beijing-AISI)、人工智能安全與超級對齊北京市重點實驗室、遠期人工智能研究中心共同撰寫併發布。在評估的40國當中,中國在總體人工智能治理水平方面居第一梯隊首位。

全球人工智能治理評估指數(AI Governance InternationaL Evaluation Index,簡稱AGILE指數)項目於2023年啓動。首版AGILE指數於2024年2月發佈,覆蓋了14個評估國家,初步建立起了具有可操作性和可比較性的基準評估框架。在此基礎上,此次的“全球人工智能治理評估指數2025”(簡稱AGILE指數2025)在2024版基礎上進行了系統性優化,繼續秉持“治理水平同發展水平相匹配”的理念,同時進一步平衡了科學嚴謹性與實踐適應性。評估過程在擴大數據多樣性的同時,增強了指標的有效性和跨國可比性。AGILE指數2025的評估框架包括了對各國在人工智能發展水平、治理環境、治理工具和治理成效等4大評估方面、17個維度和43項指標上進行評估,同時評估國家範圍擴大到了40個,涵蓋了不同的收入水平、地理區域以及技術發展階段的國家。在指數評估過程中,團隊整合了多源證據,包括政策文件、治理實踐、科研產出及風險事件等,構建了統一的比較基準,來更加客觀地刻畫全球人工智能治理現狀,幫助各國識別人工智能發展與治理優勢、短板與系統性約束。

圖1 全球人工智能治理評估指數(AGILE 2025)評估方面與評估維度
主要發現:
根據AGILE指數2025的評估結果,40個國家的表現總體可劃分為三個梯隊。第一梯隊得分高於60(其中排名前三的國家分別是中國、美國[1]和德國),第二梯隊國家的得分在50到60之間,第三梯隊國家的得分低於50。

圖2 AGILE指數2025:各國總分與排名
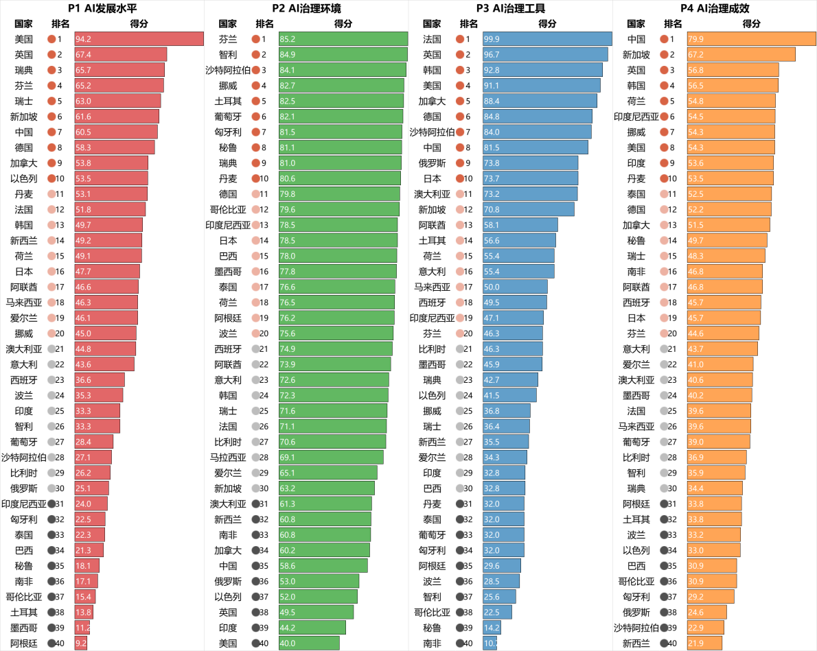
在四個評估方面中,AI發展水平(P1)和AI治理工具(P3)的得分分佈明顯比AI治理環境(P2)和AI治理成效(P4)更為分散,顯示出更顯著的分層差異。

圖3 AGILE指數2025:各國在不同評估方面上的得分與排名
在所評估的40個國家中,AGILE指數總分與人均GDP之間仍然呈現總體正相關關係。相對滯後的國家需要提升AI治理準備水平,以增強應對能力與AI治理就緒度。

圖4 各國AGILE指數得分與其人均GDP水平呈正相關
對40個國家在AGILE指數2025四個評估方面得分的進一步分析,可以看到不同國家總體呈現出四種不同的AI發展與治理類型:包括全面領先型(如中國和美國)、治理超前型(如法國、韓國)、治理滯後型(愛爾蘭、以色列)和基礎建設型(如印度和南非)。

圖5 40國AGILE指數2025各評估方面得分的分佈情況及國家類型
如果將40個國家按照“高收入國家”以及“中高收入國家和中低收入國家”分為兩組,可以看到高收入國家組在AI發展水平(P1)和AI治理工具(P3)方面明顯優於中高和中低收入國家組,而後者的AI風險暴露度相對更低且社會對AI的接受度普遍更高。

圖6 40國、高收入國家組、中高和中低收入國家組在各評估維度上的平均分
根據統計,此次評估的40個國家在過去一年內共有超過42萬名研究人員發表了超過20萬篇與AI相關的出版物,並且有超過1.6萬項專利獲得授權。截至2025年3月,這些國家已經開發了375個大型AI系統,擁有累計超過11,500 EFlop/s的超級計算機算力,並擁有至少8,000餘個託管數據中心來支持AI相關的研發活動。
表1 40國AI發展水平總體情況

與此同時,2024年記錄在案的AI風險事件數量較2023年大幅上升,增長了約100%。其中,美國的AI風險事件數量增長了1.8倍,而其他國家的平均增長速度更快,達到2.1倍。

圖7 2017年至2024年記錄在案的AI風險事件數量 數據來源:OECD AIM
在全球AI治理參與度方面,此次評估的40個國家都以多種形式參與了相關機制或倡議,其中法國、日本、韓國和新加坡的整體參與度最高。
表2 各國參與國際AI治理機制概況

在對AI應用的態度方面,各國公眾普遍認可AI在推動創新和提升效率方面的潛力,同時對AI涉及的倫理與現實風險仍持謹慎態度。
表3 公眾對AI應用的態度和預期
數據來源:THE IPSOSAI MONITOR 2024

研究發現,AI相關領域活躍研究者中的女性佔比近年來在穩步增長,相關出版物中作者的男女比例已由2017年的4.0:1降至2025年的2.2:1,反映出女性在AI科研領域的參與度持續提升。

圖8 AI相關出版物作者的男女比例2017-2025 數據來源:基於對DBLP文獻數據庫的統計分析
對AI治理相關議題的研究關注持續上升,相關出版物在全部AI出版物中的佔比在2024年已達到14.4%。在所評估的40個國家中,來自中國與美國的AI治理相關研究佔比合計達到54%,貢獻超過一半。

圖9 AI治理相關出版物數量及其在所有AI相關出版物總量中的佔比(2017–2025年) 數據來源:基於對DBLP數據庫的統計分析(截至2025年3月)
在人工智能賦能可持續發展方面:SDG3(良好健康與福祉)、SDG11(可持續城市和社區)以及SDG9(產業、創新和基礎設施)是當前研究關注度最高的AI賦能可持續發展目標方向。同時,高收入國家在社會層面的可持續發展目標方向上分配了更高的AI研究關注度,而中高收入和中低收入國家在經濟、環境相關的目標方向上有着相對更高的AI研究關注度。

圖10 高收入國家組與中高和中低收入國家組在不同可持續發展目標上的AI研究關注度分配對比 數據來源:基於對DBLP文獻數據庫的統計分析(2024年4月至2025年3月期間;橫軸代表兩個國家組在各個可持續發展目標上的AI出版物在所有與可持續發展目標相關的AI出版物中的佔比)

此次發佈指數負責人,中國科學院自動化研究所人工智能倫理與治理中心主任、北京前瞻人工智能安全與治理研究院創始院長、人工智能安全與超級對齊北京市重點實驗室主任曾毅説:“《全球人工智能治理評估指數2025》是在2024年首版指數基礎上,增設評估指標、擴大國家覆蓋範圍、優化數據基礎,呈現了對各國人工智能治理水平、國際治理格局和趨勢的最新研究成果。通過指數可以反映出來不同國家在人工智能治理水平的不同方面和維度存在明顯差異,而治理水平反映出各國在治理就緒度方面的差異,這就使得水平較低的國家在面對人工智能風險時缺乏必要的韌性和應對能力。人工智能的發展水平由於各個國家的發展階段的差異難免有差異,但是人工智能治理水平之間的差異會導致國家應對風險能力的不足,是務必要補足的。《指數》致力於為國際社會提供一個綜合、清晰、可量化、可比較的人工智能治理水平評估框架,併為觀察、理解各國治理路徑多樣性提供支撐,期望通過指數的研究工作促進世界各國在AI治理方面相互啓發,相互借鑑。”
目前,AGILE指數2025已獲得多位國際權威專家的高度關注與積極評價。專家們認為,該指數不僅構建了系統全面的分析框架,更有效促進了全球視野下的人工智能治理比較,尤其是在凸顯發展中國家在治理理念、實踐與制度創新中的獨特價值方面,體現出顯著貢獻。

聯合國教科文組織科學知識和技術倫理世界委員會主席、聯合國人工智能高層顧問機構專家、南非比勒陀利亞大學哲學系主任Emma Ruttkamp-Bloem認為“AGILE指數2025以廣闊的覆蓋範圍實現了對人工智能治理現狀的即時洞察。通過43項指標和17個評估維度,指數對40個國家人工智能治理狀況進行了細緻深入的分析,為跨國開展更加務實的人工智能治理對話提供了前所未有的支持。該指數還為特定應用場景的政策諮詢與跨國最佳實踐交流提供了富有啓發性的基礎。”

聯合國人工智能高層顧問機構專家、經濟與合作發展組織(OECD)人工智能專家Jimena Sofia Viveros Alvarez認為:“這項全面的評估(AGILE指數2025)從根本上打破了以往那種將發展中國家視為被動接受全球北方所設人工智能治理框架的敍事,展現了南方國家在治理理念、實踐經驗和制度創新方面的重要作用。這些貢獻,為構建真正公平、有效、具有全球代表性、造福全人類的人工智能治理體系提供了關鍵支撐。”

聯合國教科文組織人工智能倫理特設專家、巴西南大河州聯邦大學教授Edson Prestes認為:“AGILE指數2025是一個卓有見地的參考標準,有助於從四個不同的維度理解全球人工智能格局:人工智能的發展水平、人工智能治理環境、人工智能治理工具以及人工智能治理效能。”

巴西麥肯齊長老會大學客座教授、麥肯齊大學&巴西公共法研究院人工智能倫理研究組協調員André Gualtieri de Oliveira説:“剛剛發佈的AGILE Index 2025是一項非常紮實的研究,全面地評估了40個國家人工智能治理的情況。該指數由中國研究人員開發,在曾毅教授的領導下完成……我希望巴西的人工智能立法者將AGILE 2025當作一項重要的國際基準予以參考,以更清晰地認知我們自身的優勢與不足,並將其置於全球背景中加以比較。”

波蘭信息社會數字化事務特派部長、聯合國教科文組織“無國界人工智能倫理專家”成員、OECD人工智能治理專家組(AIGO)成員Robert Kroplewski説“我認為AGILE指數對於我們在聯合國的工作,以及在本地生態體系與治理架構的構建中,具有很高的參考價值。”
本文系觀察者網獨家稿件,未經授權,不得轉載。