騰訊混元開源輕量翻譯模型,網易、科大訊飛、阿里亦有佈局
胡祥熙

9月1日,騰訊混元宣佈將旗下剛剛獲得國際翻譯比賽冠軍的模型開源,供開發者免費下載部署。
據瞭解,這一模型被命名為Hunyuan-MT-7B,總參數量僅7B,支持33個語種、5種民漢語言/方言互譯,還能精準理解網絡用語、遊戲用語等,結合語境進行意譯,可以説是一個能力全面的輕量級翻譯模型。

Hunyuan-MT-7官方介紹 騰訊混元
據悉,在此前舉辦的2025年世界機器翻譯大會(簡稱WMT2025)上,騰訊的Hunyuan-MT-7B在比賽中獲得了30個語種的第一名。
在比賽中,該模型涉及到多達31種語言的翻譯,包括中文、英文、法語、德語以及眾多小眾語言,如愛沙尼亞語、冰島語和烏爾都語等。
據悉,WMT25競賽對參賽模型的參數規模有明確限制,要求系統滿足開源要求,並且只能使用公開數據進行訓練,在這樣的環境下,Hunyuan-MT-7B擊敗了眾多參數更大的模型。

模型相關參數 模型Github官網
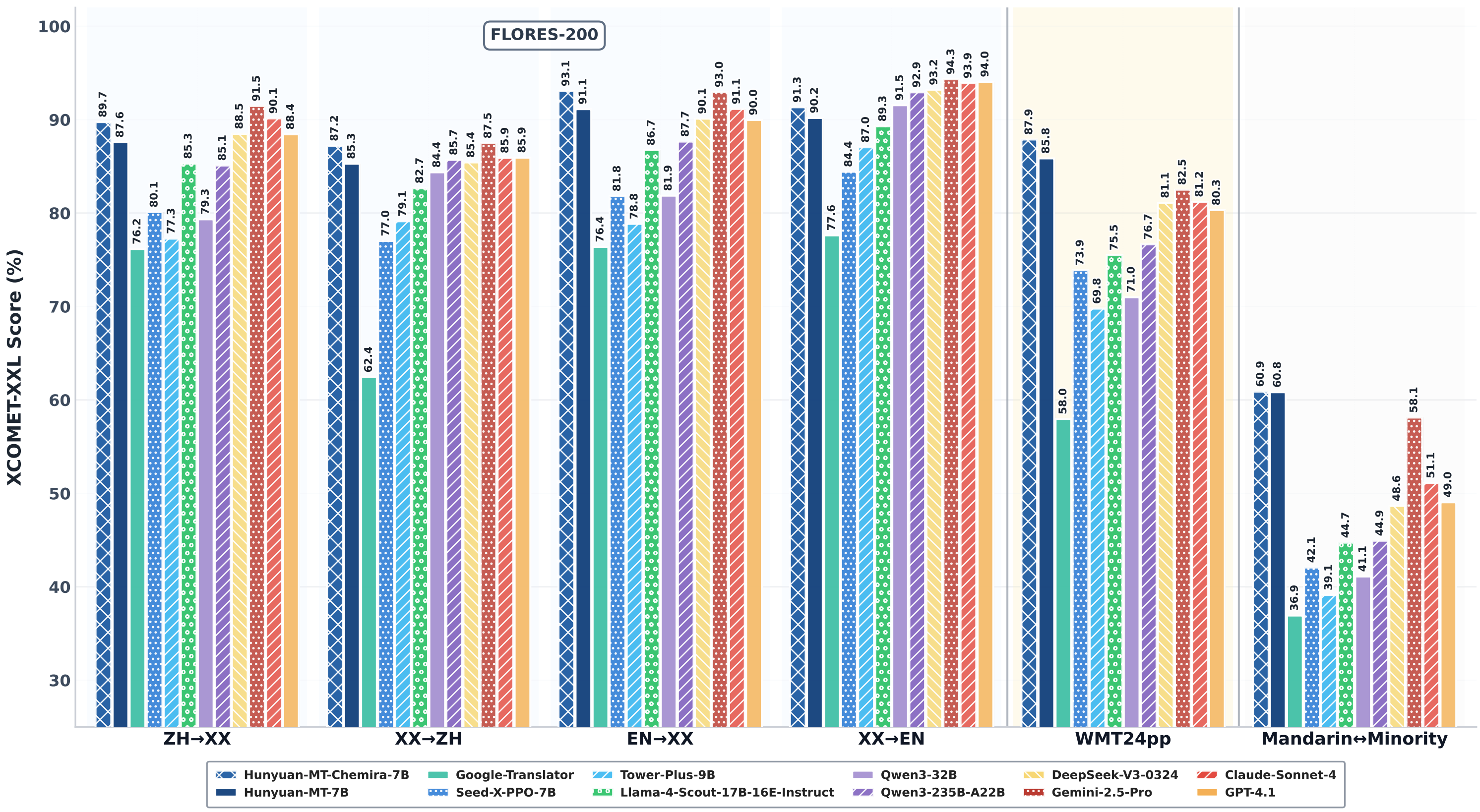
騰訊混元此前還表示,在業界常用的翻譯能力測評數據集Flores200上,騰訊混元Hunyuan-MT-7B模型也有卓越的效果表現,明顯領先於同尺寸模型,與超大尺寸模型效果對比也不遜色。針對翻譯場景,騰訊混元提出了一個完整的翻譯模型訓練範式,覆蓋從預訓練、到CPT再到監督調參、翻譯強化和集成強化全鏈條,使得模型的翻譯效果達到業界最優。
據悉,同時開源的還有一個翻譯集成模型Hunyuan-MT-Chimera-7B(奇美拉),它能夠根據原文和多個翻譯模型給出的不同內容,再生成一個更優的翻譯結果,不僅原生支持Hunyuan-MT-7B,也支持接入Deepseek等模型。
目前,騰訊混元翻譯模型已經接入騰訊多個業務,包括騰訊會議、企業微信、QQ瀏覽器、翻譯君翻譯、騰訊海外客服翻譯等,助力產品體驗提升。
此外,Hunyuan-MT-7B模型也已在騰訊混元官網上線體驗入口,並在Huggingface和Github等開源社區提供下載,對應的技術報告和論文也已經在開源社區公開。

模型體驗窗口 騰訊混元
此次開源也可能標誌着騰訊翻譯業務的戰略升級。回溯今年2月,騰訊曾宣佈關停2016年上線的“騰訊翻譯君”(含APP、網頁及小程序),並於3月13日終止服務、刪除用户數據。作為曾創下“日均翻譯請求2億次”“2018年WMT冠軍”的明星產品,翻譯君的關停並非業務收縮,而是騰訊翻譯能力向大模型生態的遷移——其核心功能已整合至“騰訊元寶”智能體平台。本次發佈的Hunyuan-MT-7B模型,可能也是相關佈局的進一步體現。
從行業動態上看,今年3月,網易有道曾發佈基於自主研發的子曰翻譯大模型2.0,在測試中實現翻譯質量超越國內外主流通用大模型;科大訊飛則在今年一月份發佈了具備端到端語音同傳能力的大模型——星火語音同傳大模型,支持不同時延模式,首響最快可以做到5秒以內;再往前,去年10月,阿里國際AI電商服務平台Aidge曾上線了支持中、英、日、韓、西、法等15種全球主流語種的Marco翻譯大模型,面向全球用户開放使用。
本文系觀察者網獨家稿件,未經授權,不得轉載。